Лекция
Привет, Вы узнаете о том , что такое поляризация, Разберем основные их виды и особенности использования. Еще будет много подробных примеров и описаний. Для того чтобы лучше понимать что такое поляризация, сфера пуанкаре , настоятельно рекомендую прочитать все из категории Теория электромагнитного поля.
поляризация – это характеристика гармонической электромагнитной волны, которая определяет направление вектора напряженности
ее электрического поля в течение периода колебаний.
Поляризация волн — характеристика поперечных волн, описывающая поведение вектора колеблющейся величины в плоскости, перпендикулярной направлению распространения волны. В плоском пространстве определяет работу для вектора колеблющейся величины, который перпендикулярен направлению распространения волны.
В продольной волне поляризация возникнуть не может, так как направление колебаний в волнах этого типа всегда совпадает с направлением распространения.
Для электромагнитных волн поляризация — явление направленного колебания векторов напряженности электрического поля или напряженности магнитного поля
.

Причиной возникновения поляризации волн
Открытию поляризованных световых волн предшествовали работы многих ученых. В 1669 г. датский ученый Расмус Бартолин сообщил о своих опытах с кристаллами известкового шпата (CaCO3), чаще всего имеющими форму правильного ромбоэдра, которые привозили возвращающиеся из Исландии моряки. Он с удивлением обнаружил, что луч света при прохождении сквозь кристалл расщепляется на два луча (называемых теперь обыкновенным и необыкновенным). Бартолин провел тщательные исследования обнаруженного им явления двойного лучепреломления, однако объяснения ему дать не смог.
Через двадцать лет после опытов Э. Бартолина его открытие привлекло внимание нидерландского ученого Христиана Гюйгенса. Он сам начал исследовать свойства кристаллов исландского шпата и дал объяснение явлению двойного лучепреломления на основе своей волновой теории света. При этом он ввел важное понятие оптической оси кристалла, при вращении вокруг которой отсутствует анизотропия свойств кристалла, то есть их зависимость от направления (конечно, такой осью обладают далеко не все кристаллы).
В своих опытах Гюйгенс пошел дальше Бартолина, пропуская оба луча, вышедшие из кристалла исландского шпата, сквозь второй такой же кристалл. Оказалось, что если оптические оси обоих кристаллов параллельны, то дальнейшего разложения этих лучей уже не происходит. Если же второй ромбоэдр повернуть на 180 градусов вокруг направления распространения обыкновенного луча, то при прохождении через второй кристалл необыкновенный луч претерпевает сдвиг в направлении, противоположном сдвигу в первом кристалле, и из такой системы оба луча выйдут соединенными в один пучок. Выяснилось также, что в зависимости от величины угла между оптическими осями кристаллов изменяется интенсивность обыкновенного и необыкновенного лучей.

Волна с круговой поляризацией.
Эти исследования вплотную подвели Гюйгенса к открытию явления поляризации света, однако решающего шага он сделать не смог, поскольку световые волны в его теории предполагались продольными. Для объяснения опытов Х. Гюйгенса И. Ньютон, придерживавшийся корпускулярной теории света, выдвинул идею об отсутствии осевой симметрии светового луча и этим сделал важный шаг к пониманию поляризации света.
В 1808 г. французский физик Этьен Луи Малюс, глядя сквозь кусок исландского шпата на блестевшие в лучах заходящего солнца окна Люксембургского дворца в Париже, к своему удивлению заметил, что при определенном положении кристалла было видно только одно изображение. На основании этого и других опытов и опираясь на корпускулярную теорию света Ньютона, он предположил, что корпускулы в солнечном свете ориентированы беспорядочно, но после отражения от какой-либо поверхности или прохождения сквозь анизотропный кристалл они приобретают определенную ориентацию. Такой «упорядоченный» свет он назвал поляризованным.
В 1810 году Малюс открыл закон, выражающий зависимость интенсивности линейно-поляризованного света после его прохождения через поляризатор от угла между плоскостями поляризации падающего света и поляризатора. В том же году он создал количественную корпускулярную теорию поляризации света, объяснившую все известные к тому времени поляризационные явления: двойное лучепреломление света в кристаллах, закон Малюса, поляризацию при отражении и преломлении. Несколькими годами позже Био открыл вращение плоскости поляризации, которое сам же и объяснил на основе теории Малюса.
Явление поляризации считалось доказательством корпускулярной теории света и опровержением волновой теории. Но в 1815 году Ампер сказал Френелю, что поляризацию можно объяснить, предположив, что эфир совершает поперечные колебания. В 1817 году ту же гипотезу выдвинул Юнг. В 1821 году Френель создал волновую теорию поляризации света.
Электромагнитная волна может быть разложена (как теоретически, так и практически) на две поляризованные составляющие, например, поляризованные вертикально и горизонтально. Возможны другие разложения, например, по иной паре взаимно перпендикулярных направлений, или же на две составляющие, имеющие левую и правую круговую поляризацию. При попытке разложить линейно поляризованную волну по круговым поляризациям (или наоборот) возникнут две составляющие половинной интенсивности.
Как с квантовой, так и с классической точки зрения поляризация может быть описана двумерным комплексным вектором (вектором Джонса). Поляризация фотона является одной из реализаций кубита.
Свет солнца, являющийся тепловым излучением, не имеет поляризации, однако рассеянный свет неба приобретает частичную линейную поляризацию. Поляризация света меняется также при отражении. На этих фактах основаны применения поляризующих фильтров в фотографии (например, в наблюдениях за отражающими астрономическими телами, в художественной фотографии, аэрофотосъемке или дефектоскопии) и т. д.
Линейную поляризацию имеет обычно излучение антенн.
По изменению поляризации света при отражении от поверхности можно судить о структуре поверхности, оптических постоянных, толщине образца.

Ограничить прохождение поляризованного света можно простым поворачиванием поляризационного фильтра
Если рассеянный свет поляризовать, то, используя поляризационный фильтр с иной поляризацией, можно ограничивать прохождение света. Интенсивность света, прошедшего через поляризаторы, подчиняется закону Малюса. На этом принципе работают жидкокристаллические экраны.
Некоторые живые существа, например пчелы, способны различать линейную поляризацию света, что дает им дополнительные возможности для ориентации в пространстве. Обнаружено, что некоторые животные, например рак-богомол, способны различать циркулярно-поляризованный свет, то есть свет с круговой поляризацией.

Рассмотрим электромагнитную волну (рис.7.3,а), у которой изменение вектора
со временем описывается выражением

Зафиксируем z = z1 = const , t = var . В плоскости z = z1 годограф вектора
есть прямая линия (рис.7.3,б). Такие волны называются линейно поляризованными.
Вектор линейно поляризованной волны не обязательно направлен вдоль оси x, направление линии, которое прочерчивает конец вектора
может быть произвольным: вертикальным, горизонтальным либо наклоненным под любым углом к осям x,y.
Рассмотрим две волны, которые одновременно распространяются вдоль оси z:
На основе принципа суперпозиции можно утверждать, что эти волны, налагаясь друг на друга, образуют суммарную волну, которая будет иметь две компоненты, сдвинутые друг относительно друга на угол π / 2. Зафиксируем плоскость z = z1 = const . Возведем левые и правые части равенств (7.23) и (7.24) в квадрат и сложим их.
Полученное в результате равенство:
(7.25)
является уравнением окружности.
Таким образом, конец вектора
за период колебаний описывает на плоскости z = const окружность (рис.7.4). Электромагнитная волна, обладающая данным свойством, называется волной с круговой поляризацией. В пространстве конец вектора
описывает винтовую линию на поверхности кругового цилиндра радиуса Em (рис.7.5). В плоскости const z = вектор
может вращаться в левую (рис.7.4,а) или правую(рис.7.4,б) стороны, в зависимости от этого различают волны круговой поляризации с правым и левым вращением.
Таким образом, мы показали, что волна с круговой поляризацией образуется наложением двух волн с линейной поляризацией, необходимо выполнить три условия:
а) векторы
этих волн должны быть направлены относительно друг друга под углом 90°;
б) амплитуды этих волн должны быть равными;
в) разность фаз между волнами должна составлять ± π/ 2.
Рисунок 7.4
Нетрудно показать, что изменение знака в последнем условии меняет направление вектора
на противоположный, т. е. волна с левым направлением вращения становится правополяризованной волной, и наоборот, волна с правым направлением вращения становится левополяризованной.
Справедливым оказывается и обратное утверждение: линейную волну можно предоставить как сумму двух волн с круговой поляризацией.
Действительно
, (7.30)
где
- комплексные амплитуды волны круговой поляризации с правым и левым направлениями вращения (рис.7.6).
Рисунок 7.5 Рисунок 7.6
Ранее мы рассматривали•плоские электромагнитные волны. Эти волны векторные; они отличаются от скалярных плоских волн тем, что характеризуются не одной скалярной функцией, удовлетворяющей волновому уравнению, а несколькими такими функциями. Вследствие этого появляется новый фактор, подлежащий изучению, а именно поляризация.
Поляризация описывается фигурами Лиссажу, и соответствует сложению поперечных колебаний равной частоты (с различным сдвигом фаз). При равенстве частоты колебаний фигуры Лиссажу представляют собой эллипс, двумя крайними формами которого являются круг и отрезок прямой.
В общем случае для гармонических волн конец вектора колеблющейся величины описывает в плоскости, поперечной направлению распространения волны, эллипс: это эллиптическая поляризация. Важными частными случаями являются линейная поляризация, при которой колебания возмущения происходят в какой-то одной плоскости, в таком случае говорят о «плоско-поляризованной волне», и круговая поляризация или циркулярная поляризация, при которой конец вектора амплитуды описывает окружность в плоскости колебаний; круговая поляризация (как и эллиптическая) в зависимости от направления вращения вектора может быть положительной или правой и отрицательной или левой.
| круговая поляризация |
эллиптическая поляризация |
линейная поляризация |
![]() |
![]() |
![]() ![]() |
Круговая поляризация на резиновой нити, преобразованная в линейную поляризацию
Рассмотрим интерференцию в диэлектрике двух плоских волн, у которых векторы Е ориентированы соответственно по оси ох и по оси оу, причем предположим, что амплитуды и начальные фазы этих волн различны, т. е.

где φ—разность фаз колебаний этих волн. Имеем


Из этих двух равенств получаем
(1)
или

Отсюда видно, что в плоскости, координатами точек которой являются составляющие вектора Ех и Еу, конец вектора Е за период высокой частоты
описывает кривую второго порядка. Об этом говорит сайт https://intellect.icu . Иначе говоря, годограф вектора Е есть кривая второго порядка г
Эта кривая, поскольку она не выходит за пределы прямоугольника со сторонами 2a1 и 2a2, может быть только эллипсом. Этот эллипс, вписанный в прямоугольник со сторонами 2a1 и 2a2, может иметь, как
показано на рис. 1, два положения.
На рисунке 0—это угол между осью Е у и большой осью эллипса. Такой же эллипс описывает за период Т и вектор Н, причем оси эллипсов обоих векторов взаимно перпендикулярны.
Рис. 1, a, б
Сначала рассмотрим два частных случая поляризации: линейную и круговую поляризации.
1. Линейная поляризация. Этот простейший вид поляризации, когда вектор Е колеблется по прямой, получается при
, где n0 = 0 , 2, 4,... — четные числа, и ири
где n1= 1, 3, 5,... —
-нечетные числа.
В первом случае

Во втором случае

Первый случай иллюстрируется рис. 2,а, а второй — рис. 2,6.

Рис. 2, a, б
Этот вид поляризации получается при
а1=а2 = а и

В первом случае, когда
взято со знаком «+»,

Во втором случае, когда
взято со знаком «—»,

причем в обоих случаях

то есть годограф вектора есть окружность. ,
Выясним, в какую сторону вращается вектор Е в первом и во втором случаях.
Возьмем производную по ф в Ех и Еу и Затем положим ψ = 0. Тогда получим в первом случае

а во втором случае

На рис. 3 показано направление скорости вращения вектора Е, то есть когда перед -у- знак « + » , вектор Е вращается вправо, или,
иначе, по часовой стрелке (рис. За), когда перед
знак «—», вектор вращается влево, или, иначе, против часовой стрелки (рис. 3б).
Таким образом, круговая поляризации может быть правого и левого вращения.

Рис. 3
Условились считать круговую поляризацию правого вращения, если наблюдатель смотрит на приближающуюся волну и видит вращение вектора по часовой стрелке. Если же наблюдатель смотрит на приближающуюся волну и видит вращение вектора против часовой стрелки, то поляризация левого вращения.
Рассмотрим сначала интерференцию двух поляризованных по кругу плоских волн, одинаковых по амплитуде, но противоположного направления вращения, распространяющихся с одинаковой скоростью.
Нетрудно видеть, что в результате получим одну линейно поляризованную волну. Действительно.

Рассмотрим другой случай.
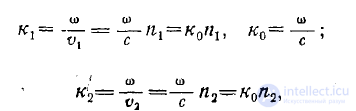
Пусть указанные интерферирующие волны распространяются с разными скоростями
и соответственно с постоянными распространения

где n1 и n2 — показатели преломления; 
Тогда, представляя составляйте напряженностей полей этих волн в виде

и складывая их, получим

где принято обозначение

В результате найдем

Из этих выражений видно, что суммарная волна действительно получилась линейно поляризованной, но с вращающейся плоскостью поляризации.
Так, на отрезке пути волны z\—z2 угол поворота плоскости поляризации равен

Такое вращение плоскости поляризации может иметь место в ферритах, ионосфере. Эффект вращения плоскости поляризации оптических волн был впервые обнаружен Фарадеем.
Из рассмотренных линейной и круговой поляризации можно об общем случае эллиптической поляризации сделать выводы, наглядно изображаемые на рис. 4.
Однако более полное количественное представление о характере поляризации в общем случае дают параметры Стокса и сфера Пуанкаре.
Параметрами Стокса называются следующие выражения:
' (2)
Нетрудно проверить, что для этих параметров выполняется следующее равенство:


Рис. 4
В результате чисто геометрических выкладок можно получить следующие соотношения:

где

a — большая, b — м а л а я , полуоси эллипса поляризации.
Поскольку всегда а > 0 и Ь>0, знак перед отношением согласно (4) должен быть таким, каким он получается у sinφ, то есть этот знак определяется углом φ.
После ряда выкладок можно получить следующие равенства:
(5)
Эти равенства имеют следующий геометрический смысл.
Параметры Стокса
можно рассматривать как прямоугольные, а параметр Стокса s0 и углы 2χ и 2θ как сферические координаты точки па поверхности сферы радиуса s0 (рис. 5 ) .
В отличие от обычной сферической системы координат угол 2χ здесь отсчптывается не от полярной оси 0z, а от экваториальной плоскости xoy, т. е. угол 2χ соответствует географической широте.

рис. 5
Каждая точка па сфере имеет четкий физический смысл — ее координаты представляют собой все параметры, характеризующие поляризацию при фиксированной интенсивности волны

Экваториальная плоскость хоу делит поляризацию на два вида.
Выше этой плоскости χ > 0 , поскольку s3>0, что согласно (2) соответствует sinφ> 0 .
В этом случае получается поляризация правого вращения. Ниже этой плоскости χ<0, поскольку s3<0, и согласно (2) соответствует sinφ <0. Это поляризация левого вращения.
Точки на экваторе Х = 0, поскольку s3 = 0, что согласно (2) соответствует φ = 0, определяют линейную поляризацию.
Точки на полюсах
поскольку s1=s2 = 0, что согласно (2) соответствует а1 = а2 и 
определяют круговую поляризацию,
причем «северный» полюс поляризацию правого вращения, а «южный» — поляризацию левого вращения.
Описанная здесь сфера называется сферой Пуанкаре.

Изображение поляризации на сфере Пуанкаре через параметры Стокса
Каждой точке сферы приведем в соответствие лежащую на сфере малую ориентированную окружность с центром в этой точке. Параллельная проекция такой сферы на плоскость переведет окружности во всевозможные эллипсы поляризации. Однако, каждый такой эллипс встречается два раза (что соответствует одинаковым колебаниям вектора напряженности, но в противофазе). Сфера Пуанкаре может быть получена склеиванием пар точек главного меридиана, находящихся на одной параллели.

Склеивание точек, соответствующих одинаковой поляризации. Показана только верхняя полусфера, соответствующая левым поляризациям. Азимутальный угол увеличивается вдвое. Тангенс угла восхождения также удваивается.
Представление поляризованного света с помощью единственного комплексного числа получается стереографической проекцией сферы Пуанкаре на комплексную плоскость.

Левое изображение снято без фильтра, правое — через поляризационный фильтр
Скорость распространения волны может зависеть от ее поляризации.
Две волны, линейно поляризованные под прямым углом друг к другу, не интерферируют.
Чаще всего это явление используется для создания различных оптических эффектов, а также в 3D-кинематографе (технология IMAX), где поляризация используется для разделения изображений, предназначенных правому и левому глазу.
Круговая поляризация применяется в антеннах космических линий связи, так как для приема сигнала не важно положение плоскости поляризации передающей и приемной антенн. То есть вращение космического аппарата не повлияет на возможность связи с ним. Направление вращения круговой поляризации космической приемопередающей антенны должно совпадать с направлением вращения наземной приемопередающей антенны, работающей с космической. То же самое с антеннами линейной поляризации. В космической связи используется поляризационная развязка, то есть на одной частоте работают антенны противоположных направлений вращения поляризации или ортогональные с линейной поляризацией.
Антенну круговой поляризации выполнить сложнее, чем антенну линейной поляризации, для этого нужен поляризатор. Антенну с поляризацией правого направления вращения легко переделать в левого направления вращения. Для этого нужно повернуть на 90 градусов относительно оси вращения ее поляризатор. Вообще, круговая поляризация — вещь теоретическая. На практике говорят об антеннах эллиптической поляризации — с левым или правым направлением вращения.
Круговая поляризация света используется также в технологиях стереокинематографа RealD и MasterImage. Эти технологии подобны IMAX с той разницей, что круговая поляризация вместо линейной позволяет сохранять стереоэффект и избегать двоения изображения при небольших боковых наклонах головы.
Поляризация волн находит применение в поляризационной голографии.
Некоторые оптические методы измерения основаны на поляризации. Во многих других оптических методах поляризация имеет решающее значение или, по крайней мере, должна учитываться и контролироваться; таких примеров слишком много, чтобы их перечислять.

Напряжение в пластиковых стаканах
В инженерии явление двупреломления, вызванного напряжением, позволяет легко наблюдать напряжения в прозрачных материалах. Как отмечено выше и показано на прилагаемой фотографии, хроматичность двупреломления обычно создает цветные узоры при наблюдении между двумя поляризаторами. При приложении внешних сил наблюдается внутреннее напряжение, вызванное в материале. Кроме того, двупреломление часто наблюдается из-за напряжений, «замороженных» во время производства. Это хорошо заметно в целлофановой ленте, двупреломление которой обусловлено растяжением материала в процессе производства.
Эллипсометрия — это мощный метод измерения оптических свойств однородной поверхности. Он включает измерение состояния поляризации света после зеркального отражения от такой поверхности. Обычно это делается как функция угла падения или длины волны (или того и другого). Поскольку эллипсометрия основана на отражении, не требуется, чтобы образец был прозрачным для света или чтобы его задняя сторона была доступна.
Эллипсометрию можно использовать для моделирования (комплексного) показателя преломления поверхности объемного материала. Она также очень полезна при определении параметров одного или нескольких слоев тонкой пленки, нанесенных на подложку. Благодаря своим отражательным свойствам , не только прогнозируется величина p- и s- компонент поляризации, но и их относительные фазовые сдвиги при отражении по сравнению с измерениями с использованием эллипсометра. Обычный эллипсометр измеряет не фактический коэффициент отражения (что требует тщательной фотометрической калибровки освещающего луча), а отношение p- и s- отражений, а также изменение эллиптичности поляризации (отсюда и название), вызванное отражением исследуемой поверхностью. Помимо использования в науке и исследованиях, эллипсометры используются in situ, например, для контроля производственных процессов.

Микрофотография зерен вулканического песка ; верхнее изображение — плоскополяризованный свет, нижнее изображение — кросс-поляризованный свет, масштаб слева в центре составляет 0,25 миллиметра.
Свойство (линейного) двупреломления широко распространено в кристаллических минералах и, действительно, имело решающее значение в первоначальном открытии поляризации. В минералогии это свойство часто используется с использованием поляризационных микроскопов для идентификации минералов. Подробнее см. в разделе «Оптическая минералогия» .
Звуковые волны в твердых материалах проявляют поляризацию. Дифференциальное распространение трех поляризаций через землю имеет решающее значение в области сейсмологии . Горизонтально и вертикально поляризованные сейсмические волны ( сдвиговые волны ) называются SH и SV, тогда как волны с продольной поляризацией ( сжатые волны ) называются P-волнами.
Аналогичным образом поляризационные микроскопы могут использоваться для обнаружения инородных тел в срезах биологических тканей, если они обладают двойным лучепреломлением; при вскрытии часто упоминается (отсутствие или наличие) «поляризующихся инородных тел».
Мы видели (выше), что двупреломление типа кристалла полезно для его идентификации, и, таким образом, обнаружение линейного двупреломления особенно полезно в геологии и минералогии . Линейно поляризованный свет обычно имеет измененное состояние поляризации при прохождении через такой кристалл, что делает его выделяющимся при просмотре между двумя скрещенными поляризаторами, как показано на фотографии выше. Аналогично, в химии вращение осей поляризации в жидком растворе может быть полезным измерением. В жидкости линейное двупреломление невозможно, но может быть круговое двупреломление, когда хиральная молекула находится в растворе. Когда правые и левые энантиомеры такой молекулы присутствуют в равных количествах (так называемая рацемическая смесь), то их эффекты нейтрализуются. Однако, когда есть только один (или преобладание одного), как это чаще всего бывает в случае органических молекул , наблюдается чистое круговое двойное лучепреломление (или оптическая активность ), показывающее величину этого дисбаланса (или концентрацию самой молекулы, когда можно предположить, что присутствует только один энантиомер). Это измеряется с помощью поляриметра , в котором поляризованный свет пропускается через трубку с жидкостью, на конце которой находится другой поляризатор, который вращается, чтобы свести к нулю пропускание света через него. [ 23 ] : 360–365 [ 30 ]
Во многих областях астрономии изучение поляризованного электромагнитного излучения из внешнего космоса имеет большое значение. Хотя поляризация обычно не является фактором теплового излучения звезд , она также присутствует в излучении когерентных астрономических источников (например, гидроксильных или метанольных мазеров ) и некогерентных источников, таких как большие радиолепестки в активных галактиках и радиоизлучение пульсаров (которое, как предполагается, иногда может быть когерентным), а также накладывается на звездный свет путем рассеяния от межзвездной пыли . Помимо предоставления информации об источниках излучения и рассеяния, поляризация также исследует межзвездное магнитное поле посредством вращения Фарадея . Поляризация космического микроволнового фона используется для изучения физики очень ранней Вселенной. Синхротронное излучение по своей природе поляризовано. Было высказано предположение, что астрономические источники стали причиной хиральности биологических молекул на Земле , но в качестве альтернативной теории был предложен отбор хиральности на неорганических кристаллах.

Влияние поляризатора на отражение от илистой воды. На рисунке слева горизонтально ориентированный поляризатор преимущественно передает эти отражения; поворот поляризатора на 90° (справа), как если бы вы смотрели через поляризованные солнцезащитные очки, блокирует почти весь зеркально отраженный солнечный свет.

Можно проверить, поляризованы ли солнцезащитные очки, посмотрев через две пары, одну перпендикулярно другой. Если обе поляризованы, весь свет будет заблокирован.
Неполяризованный свет, отражаясь от зеркальной (блестящей) поверхности, обычно приобретает некоторую степень поляризации. Это явление наблюдал в начале 1800-х годов математик Этьен-Луи Малус , в честь которого назван закон Малуса . Поляризационные солнцезащитные очки используют этот эффект для уменьшения бликов от отражений от горизонтальных поверхностей, в частности, от дороги впереди, видимой под углом скольжения.
Владельцы поляризованных солнцезащитных очков иногда будут наблюдать непреднамеренные эффекты поляризации, такие как цветозависимые эффекты двойного лучепреломления, например, в закаленном стекле (например, окна автомобиля) или предметах из прозрачного пластика , в сочетании с естественной поляризацией путем отражения или рассеивания. Поляризованный свет от ЖК-мониторов (см. ниже) чрезвычайно заметен, когда они надеты.

Эффект поляризационного фильтра (правое изображение) на небе на фотографии
Поляризация наблюдается в свете неба , поскольку это происходит из-за солнечного света, рассеиваемого аэрозолями при прохождении через атмосферу Земли . Рассеянный свет создает яркость и цвет в ясном небе. Эта частичная поляризация рассеянного света может использоваться для затемнения неба на фотографиях, увеличивая контраст. Этот эффект наиболее сильно наблюдается в точках на небе, образующих угол 90° к Солнцу. Поляризационные фильтры используют эти эффекты для оптимизации результатов фотографирования сцен, в которых присутствует отражение или рассеивание небом.

Цветные полосы в бассейне Sky Pool в Embassy Gardens , наблюдаемые через поляризатор, вызванные двойным лучепреломлением, вызванным напряжением в световом люке.
Поляризация неба использовалась для ориентации в навигации. Небесный компас Пфунда использовался в 1950-х годах при навигации вблизи полюсов магнитного поля Земли, когда ни солнца , ни звезд не было видно (например, под дневными облаками или в сумерках ). Было высказано спорное предположение, что викинги использовали похожее устройство (« солнечный камень ») в своих обширных экспедициях через Северную Атлантику в IX–XI веках, до прибытия магнитного компаса из Азии в Европу в XII веке. Связанные с небесным компасом « полярные часы », изобретенные Чарльзом Уитстоном в конце XIX века.
Принцип технологии жидкокристаллического дисплея (ЖКД) основан на вращении оси линейной поляризации жидкокристаллической матрицей. Свет от подсветки (или заднего отражающего слоя в устройствах, не включающих или не требующих подсветки) сначала проходит через линейный поляризационный лист. Этот поляризованный свет проходит через фактический жидкокристаллический слой, который может быть организован в пикселях (для телевизора или компьютерного монитора) или в другом формате, таком как семисегментный дисплей или дисплей с пользовательскими символами для конкретного продукта. Жидкокристаллический слой создается с последовательной правой (или левой) хиральностью, по сути, состоящей из крошечных спиралей . Это вызывает круговое двулучепреломление и спроектировано таким образом, чтобы имело место вращение на 90 градусов состояния линейной поляризации. Однако, когда напряжение подается на ячейку, молекулы выпрямляются, уменьшая или полностью теряя круговое двулучепреломление. На видимой стороне дисплея находится еще один линейный поляризационный лист, обычно ориентированный на 90 градусов от того, который находится за активным слоем. Поэтому, когда круговое двулучепреломление устраняется приложением достаточного напряжения, поляризация проходящего света остается под прямым углом к переднему поляризатору, и пиксель выглядит темным. Однако при отсутствии напряжения поворот поляризации на 90 градусов заставляет ее точно соответствовать оси переднего поляризатора, позволяя свету проходить. Промежуточные напряжения создают промежуточное вращение оси поляризации, и пиксель имеет промежуточную интенсивность. Дисплеи, основанные на этом принципе, широко распространены и теперь используются в подавляющем большинстве телевизоров, компьютерных мониторов и видеопроекторах, делая предыдущую технологию ЭЛТ по существу устаревшей. Использование поляризации в работе ЖК-дисплеев сразу же становится очевидным для человека, носящего поляризованные солнцезащитные очки, что часто делает дисплей нечитаемым.
В совершенно ином смысле поляризационное кодирование стало ведущим (но не единственным) методом передачи отдельных изображений для левого и правого глаза на стереоскопических дисплеях, используемых для 3D-фильмов . Это включает в себя отдельные изображения, предназначенные для каждого глаза, либо проецируемые с двух разных проекторов с ортогонально ориентированными поляризационными фильтрами, либо, что более типично, с одного проектора с мультиплексированной по времени поляризацией (устройство быстрой чередующейся поляризации для последовательных кадров). Поляризованные 3D-очки с подходящими поляризационными фильтрами гарантируют, что каждый глаз получает только предполагаемое изображение. Исторически такие системы использовали линейное поляризационное кодирование, поскольку оно было недорогим и обеспечивало хорошее разделение. Однако круговая поляризация делает разделение двух изображений нечувствительным к наклону головы и широко используется в сегодняшнем показе 3D-фильмов, например, система от RealD . Проецирование таких изображений требует экранов, которые поддерживают поляризацию проецируемого света при просмотре в отражении (например, серебряные экраны ); обычный диффузный белый проекционный экран вызывает деполяризацию проецируемых изображений, что делает его непригодным для этого применения.
Хотя сейчас ЭЛТ-дисплеи устарели, они страдали от отражения стеклянной оболочкой, что вызывало блики от комнатного освещения и, следовательно, плохой контраст. Для решения этой проблемы было использовано несколько антибликовых решений. Одно из решений использовало принцип отражения кругово-поляризованного света. Круговой поляризационный фильтр перед экраном позволяет пропускать (скажем) только правый кругово-поляризованный комнатный свет. Теперь правый кругово-поляризованный свет (в зависимости от используемого соглашения ) имеет направление своего электрического (и магнитного) поля, вращающееся по часовой стрелке при распространении в направлении +z. При отражении поле по-прежнему имеет то же направление вращения, но теперь распространение происходит в направлении −z, делая отраженную волну левой кругово-поляризованной. При размещении правого кругового поляризационного фильтра перед отражающим стеклом нежелательный свет, отраженный от стекла, будет, таким образом, находиться в том самом состоянии поляризации, которое блокируется этим фильтром, устраняя проблему отражения. Изменение круговой поляризации при отражении и устранение отражений таким образом можно легко наблюдать, глядя в зеркало, надев 3D-очки, которые используют левую и правую круговую поляризацию в двух линзах. Закрывая один глаз, другой глаз будет видеть отражение, в котором он не может видеть себя; эта линза кажется черной. Однако другая линза (закрытого глаза) будет иметь правильную круговую поляризацию, позволяя открытому глазу легко видеть закрытый глаз.
Все радиоантенны (и микроволновые) , используемые для передачи или приема, по своей природе поляризованы. Они передают сигналы в определенной поляризации (или принимают их), будучи совершенно нечувствительными к противоположной поляризации; в некоторых случаях эта поляризация является функцией направления. Большинство антенн номинально линейно поляризованы, но возможна эллиптическая и круговая поляризация. В случае линейной поляризации возможен тот же тип фильтрации, что описан выше. В случае эллиптической поляризации (круговая поляризация на самом деле является просто разновидностью эллиптической поляризации, где длина обоих коэффициентов упругости одинакова), отфильтровывание одного угла (например, 90°) практически не окажет никакого влияния, поскольку волна в любой момент времени может находиться в любом из 360 градусов.
Подавляющее большинство антенн линейно поляризованы. Фактически, можно показать из соображений симметрии, что антенна, которая полностью лежит в плоскости, которая также включает наблюдателя, может иметь поляризацию только в направлении этой плоскости. Это применимо ко многим случаям, что позволяет легко вывести поляризацию такой антенны в предполагаемом направлении распространения. Так, типичная антенна Yagi на крыше или логопериодическая антенна с горизонтальными проводниками, если смотреть со второй станции в направлении горизонта, обязательно горизонтально поляризована. Но вертикальная « штыревая антенна » или вещательная башня AM, используемая в качестве антенного элемента (опять же, для наблюдателей, горизонтально смещенных от нее), будет передавать в вертикальной поляризации. Турникетная антенна с ее четырьмя плечами в горизонтальной плоскости также передает горизонтально поляризованное излучение в направлении горизонта. Однако, когда та же самая турникетная антенна используется в «аксиальном режиме» (вверх, для той же горизонтально ориентированной структуры), ее излучение имеет круговую поляризацию. На промежуточных высотах оно имеет эллиптически поляризованное.

Рисунок 1. Радиолокатор станции наведения ракет зенитного ракетного комплекса С-75 («Fan Song E»).
Поляризация важна в радиосвязи, потому что, например, если попытаться использовать горизонтально поляризованную антенну для приема вертикально поляризованной передачи, сила сигнала будет существенно снижена (или при очень контролируемых условиях сведена к нулю). Этот принцип используется в спутниковом телевидении для того, чтобы удвоить пропускную способность канала в фиксированном диапазоне частот. Один и тот же частотный канал может использоваться для двух сигналов, транслируемых в противоположных поляризациях. Настраивая приемную антенну на одну или другую поляризацию, можно выбрать любой сигнал без помех от другого.
Особенно из-за наличия земли существуют некоторые различия в распространении (а также в отражениях, ответственных за телевизионные ореолы ) между горизонтальной и вертикальной поляризацией. AM и FM-вещательные радиостанции обычно используют вертикальную поляризацию, в то время как телевидение использует горизонтальную поляризацию. На низких частотах, особенно, горизонтальная поляризация избегается. Это происходит потому, что фаза горизонтально поляризованной волны меняется на противоположную при отражении от земли. Удаленная станция в горизонтальном направлении будет принимать как прямую, так и отраженную волну, которые, таким образом, имеют тенденцию подавлять друг друга. Эта проблема избегается с помощью вертикальной поляризации. Поляризация также важна при передаче радиолокационных импульсов и приеме радиолокационных отражений той же или другой антенной. Например, обратного рассеяния радиолокационных импульсов каплями дождя можно избежать, используя круговую поляризацию. Так же, как зеркальное отражение кругово поляризованного света изменяет направленность поляризации, как обсуждалось выше, тот же принцип применяется к рассеянию объектами, намного меньшими, чем длина волны, такими как капли дождя. С другой стороны, отражение этой волны от нерегулярного металлического объекта (например, самолета) обычно приводит к изменению поляризации и (частичному) приему отраженной волны той же антенной.
Эффект свободных электронов в ионосфере , в сочетании с магнитным полем Земли , вызывает вращение Фарадея , своего рода круговое двулучепреломление. Это тот же механизм, который может вращать ось линейной поляризации электронами в межзвездном пространстве, как упомянуто ниже . Величина вращения Фарадея, вызванного такой плазмой, значительно преувеличена на более низких частотах, поэтому на более высоких микроволновых частотах, используемых спутниками, эффект минимален. Однако средне- или коротковолновые передачи, полученные после рефракции ионосферой, сильно затронуты. Поскольку путь волны через ионосферу и вектор магнитного поля Земли вдоль такого пути довольно непредсказуемы, волна, переданная с вертикальной (или горизонтальной) поляризацией, как правило, будет иметь результирующую поляризацию в произвольной ориентации на приемнике.

Круговая поляризация через пластиковое окно самолета, 1989 г.
Многие животные способны воспринимать некоторые компоненты поляризации света, например, линейный горизонтально поляризованный свет. Это обычно используется в навигационных целях, поскольку линейная поляризация небесного света всегда перпендикулярна направлению солнца. Эта способность очень распространена среди насекомых , включая пчел , которые используют эту информацию для ориентации своих коммуникативных танцев . Чувствительность к поляризации также наблюдалась у видов осьминогов , кальмаров , каракатиц и раков-богомолов . В последнем случае один вид измеряет все шесть ортогональных компонентов поляризации и, как полагают, имеет оптимальное поляризационное зрение. Быстро меняющиеся, ярко окрашенные узоры кожи каракатиц, используемые для общения, также включают узоры поляризации, а раки-богомолы, как известно, имеют поляризационно-избирательную отражательную ткань. Считалось, что голуби воспринимают поляризацию неба и считают это одним из способов помощи при поиске дома , но исследования показывают, что это популярный миф.
Невооруженный человеческий глаз слабо чувствителен к поляризации, без необходимости использования промежуточных фильтров. Поляризованный свет создает очень слабый рисунок вблизи центра поля зрения, называемый щеткой Хайдингера . Этот рисунок очень трудно увидеть, но с практикой можно научиться обнаруживать поляризованный свет невооруженным глазом.
Хорошо известно, что электромагнитное излучение несет определенный линейный импульс в направлении распространения. Кроме того, однако, свет несет определенный угловой момент, если он имеет круговую поляризацию (или частично). По сравнению с более низкими частотами, такими как микроволны, величина углового момента в свете , даже чисто круговой поляризации, по сравнению с линейным импульсом той же волны (или давлением излучения ) очень мала и ее трудно даже измерить. Тем не менее, она была использована в эксперименте для достижения скоростей до 600 миллионов оборотов в минуту
Исследование, описанное в статье про поляризация, подчеркивает ее значимость в современном мире. Надеюсь, что теперь ты понял что такое поляризация, сфера пуанкаре и для чего все это нужно, а если не понял, или есть замечания, то не стесняйся, пиши или спрашивай в комментариях, с удовольствием отвечу. Для того чтобы глубже понять настоятельно рекомендую изучить всю информацию из категории Теория электромагнитного поля
Комментарии
Оставить комментарий
Теория электромагнитного поля
Термины: Теория электромагнитного поля