Лекция
Привет, Вы узнаете о том , что такое закон электромагнитной индукции, Разберем основные их виды и особенности использования. Еще будет много подробных примеров и описаний. Для того чтобы лучше понимать что такое закон электромагнитной индукции, эакон электромагнитных сил , настоятельно рекомендую прочитать все из категории Теория электромагнитного поля.
Закон электромагни́тной индукции Фарадея — один из важнейших законов электродинамики, гласящий, что
для любого замкнутого контура порождаемая в нем магнитным полем электродвижущая сила (ЭДС) равна скорости изменения магнитного потока через этот контур, взятой со знаком минус,
или, опуская детали,
генерируемая ЭДС пропорциональна скорости изменения магнитного потока.
Под контуром понимается любая замкнутая кривая в пространстве; она может двигаться и деформироваться.
Если вдоль такой кривой проложен тонкий провод, ЭДС проявится протеканием индукционного тока, который может быть использован технически. Данный эффект лежит в основе принципов работы трансформаторов, дросселей, многих видов электродвигателей и генераторов. При этом индукционный ток направлен так, что его действие противоположно действию причины, вызвавшей этот ток (правило Ленца).
В 1831 году Майкл Фарадей экспериментально обнаружил, что на клеммах разомкнутого проводящего витка, помещенного в переменное магнитное
поле, возникает электродвижущая сила Э, величина которой рана скорости
магнитного потока, пересекающий этот контур:
. (2.8)
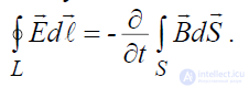
ЭДС, наводимую в контуре L, можно представить как циркуляцию вектора напряженности электрического поля E
r
по этому контуру

а магнитный поток можно определить, как

где S – площадь поверхности, опирающаяся на контур L. С учетом этого равенство (2.8) можно записать в следующем виде:
. (2.9)
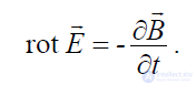
Применяя к левой части последнего выражения теорему Стокса, приходим к соотношению:

откуда следует равенство:
. (2.10)
Выражения (2.9) и (2.10) представляют собой интегральное и дифференциальное представление закона электромагнитной индукции Фарадея.


Электромагнитная индукция была обнаружена независимо друг от друга Майклом Фарадеем и Джозефом Генри в 1831 году, однако Фарадей первым опубликовал результаты своих экспериментов.
В первой экспериментальной демонстрации электромагнитной индукции (август 1831) Фарадей обмотал двумя проводами противоположные стороны железного тора (конструкция похожа на современный трансформатор). Основываясь на своей оценке недавно обнаруженного свойства электромагнита, он ожидал, что при включении тока в одном проводе особого рода волна пройдет сквозь тор и вызовет некоторое электрическое влияние на его противоположной стороне. Он подключил один провод к гальванометру и смотрел на него, когда другой провод подключал к батарее. В самом деле, он увидел кратковременный всплеск тока (который он назвал «волной электричества»), когда подключал провод к батарее, и другой такой же всплеск, когда отключал его. В течение двух месяцев Фарадей нашел несколько других проявлений электромагнитной индукции. Например, он увидел всплески тока, когда быстро вставлял магнит в катушку и вытаскивал его обратно, он генерировал постоянный ток во вращающемся вблизи магнита медном диске со скользящим электрическим проводом («диск Фарадея»).

Диск Фарадея
Фарадей объяснил электромагнитную индукцию с использованием концепции так называемых силовых линий. Однако, большинство ученых того времени отклонили его теоретические идеи, в основном потому, что они не были сформулированы математически. Исключение составил Максвелл, который использовал идеи Фарадея в качестве основы для своей количественной электромагнитной теории. В работах Максвелла аспект изменения во времени электромагнитной индукции выражен в виде дифференциальных уравнений. Об этом говорит сайт https://intellect.icu . Оливер Хевисайд назвал это законом Фарадея, хотя он несколько отличается по форме от первоначального варианта закона Фарадея и не учитывает индуцирование ЭДС при движении. Версия Хевисайда является формой признанной сегодня группы уравнений, известных как уравнения Максвелла.
Эмилий Христианович Ленц сформулировал в 1834 году закон (правило Ленца), который описывает «поток через цепь» и дает направление индуцированной ЭДС и тока в результате электромагнитной индукции.

Электрический генератор на основе диска Фарадея. Диск вращается с угловой скоростью ω, при этом проводник, расположенный вдоль радиуса, движется в статическом магнитном поле B . Магнитная сила Лоренца v×B
создает ток вдоль проводника по направлению к ободу, затем цепь замыкается через нижнюю щетку и ось поддержки диска. Таким образом, вследствие механического движения генерируется ток.
Явление возникновения ЭДС, порожденной по закону индукции Фарадея из-за относительного движения контура и магнитного поля, лежит в основе работы электрических генераторов. Если постоянный магнит перемещается относительно проводника или, наоборот, проводник перемещается относительно магнита, то возникает электродвижущая сила. Если проводник подключен к электрической нагрузке, то через нее будет течь ток, и следовательно, механическая энергия движения будет превращаться в электрическую энергию. Одной из возможных реализаций этой идеи является диск Фарадея, показанный в упрощенном виде на рисунке справа.
В примере диска Фарадея диск вращается в однородном магнитном поле, перпендикулярном диску, в результате чего возникает ток в радиальном плече благодаря силе Лоренца. Интересно понять, как получается, что чтобы управлять этим током, необходима механическая работа. Когда генерируемый ток течет через проводящий обод, по закону Ампера этот ток создает магнитное поле (на рисунке оно подписано «индуцированное B » — Induced B ). Обод, таким образом, становится электромагнитом, который сопротивляется вращению диска (пример правила Ленца). В дальней части рисунка обратный ток течет от вращающегося плеча через дальнюю сторону обода к нижней щетке. Поле В, создаваемое этим обратным током, противоположно приложенному полю, вызывая сокращение потока через дальнюю сторону цепи, в противовес увеличению потока, вызванного вращением. На ближней стороне рисунка обратный ток течет от вращающегося плеча через ближнюю сторону обода к нижней щетке. Индуцированное поле B увеличивает поток по эту сторону цепи, в противовес снижению потока, вызванного вращением. Таким образом, обе стороны цепи генерируют ЭДС, препятствующую вращению. Энергия, необходимая для поддержания движения диска в противовес этой реактивной силе, в точности равна вырабатываемой электрической энергии (плюс энергия на компенсацию потерь из-за трения, из-за выделения тепла Джоуля и прочее). Такое поведение является общим для всех генераторов преобразования механической энергии в электрическую.
Хотя закон Фарадея описывает работу любых электрических генераторов, детальный механизм в разных случаях может отличаться. Когда магнит вращается вокруг неподвижного проводника, меняющееся магнитное поле создает электрическое поле, как описано в уравнении Максвелла-Фарадея, и это электрическое поле толкает заряды через проводник. Этот случай называется индуцированной ЭДС. С другой стороны, когда магнит неподвижен, а проводник вращается, на движущиеся заряды воздействует магнитная сила (как описывается законом Лоренца), и эта магнитная сила толкает заряды через проводник. Этот случай называется двигательной ЭДС.
Электрический генератор может работать в «обратном направлении» и становиться двигателем. Рассмотрим, например, диск Фарадея. Предположим, постоянный ток течет через проводящее радиальное плечо от какого-либо напряжения. Тогда по закону силы Лоренца на этот движущийся заряд воздействует сила в магнитном поле B, которая будет вращать диск в направлении, определенным правилом левой руки. При отсутствии эффектов, вызывающих диссипативные потери, таких как трение или тепло Джоуля, диск будет вращаться с такой скоростью, чтобы было равно напряжению, вызывающему ток.
ЭДС, предсказанная законом Фарадея, является также причиной работы электрических трансформаторов. Когда электрический ток в проволочной петле изменяется, меняющийся ток создает переменное магнитное поле. Второй провод в доступном для него магнитном поле будет испытывать эти изменения магнитного поля как изменения связанного с ним магнитного потока . Электродвижущая сила, возникающая во второй петле, называется индуцированной ЭДС или ЭДС трансформатора. Если два конца этой петли связать через электрическую нагрузку, то через нее потечет ток.
Закон Фарадея используется для измерения расхода электропроводящих жидкостей и суспензий. Такие приборы называются магнитными расходомерам. Наведенное напряжение ℇ, генерируемое в магнитном поле B за счет проводящей жидкости, движущейся со скоростью v
определяется по формуле:
,
где ℓ — расстояние между электродами в магнитном расходомере.
Магнитное поле оказывает на рамку с током ориентирующее действие. Следовательно, вращающий момент, испытываемой рамкой, есть результат действия сил на отдельные ее элементы. Ампер установил, что сила dF, с которой магнитное поле действует на элемент проводника dl с током, находящегося в магнитном поле, равна
dF =I[dl,B]
Где dl – вектор, по модулю равный dl и совпадающий по направлению с током, B – вектор магнитной индукции.
Направление вектора dF может быть найдено по общим правилам векторного произведения, откуда следует правило левой руки: если ладонь левой руки расположить так, чтобы в нее входил вектор B, а четыре вытянутых пальца расположить по направлению тока в проводнике, то отогнутый большой палец покажет направление силы, действующей на ток. Модуль силы Ампера вычисляется по формуле
dF = IB dl sin α
где α – угол между векторами dl и B.
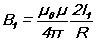
Закон Ампера применяется для определения силы взаимодействия двух токов. Рассмотрим два бесконечных прямолинейных параллельных тока I1 и I2 (направления токов указаны на рис. 1), расстояние между которыми равно R. Каждый из проводников создает магнитное поле, которое действует (по закону Ампера) на другой проводник с током. Рассмотрим, с какой силой действует магнитное поле тока I1 на элемент dl второго проводника с током I2. Ток I1 создает вокруг себя магнитное поле, линии магнитной индукции которого представляют собой концентрические окружности. Направление вектора B1 определяется правилом правого винта, его модуль равен


Рис.1
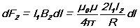
Направление илы dF , с которой поле B действует на участок dl второго тока, определяется по правилу левой руки и указано на рис.1. Модуль силы с учетом того, что угол α между элементами тока I2 и вектором B1 прямой
dF1 = I2B1dl
подставим значение для B1

Рассуждая аналогично, можно показать, что сила dF2, с которой магнитное поле тока I2 действует на элемент dl первого проводника с током I1, направлена в противоположную сторону и по модулю равна

Сравним два последних выражения. Получается, что
dF1 = dF2,
т.е. два параллельных тока одинакового направления притягиваются друг к другу с силой
Если токи имеют противоположные направления, то, используя правило левой руки, можно показать, что между ними действует сила отталкивания.
Таким образом, закон электромагнитных сил Ампера гласит: сила механического взаимодействия проводника с током I и магнитного поля с индукцией B прямо пропорционально произведению магнитной индукции, длины проводника и силы тока в проводнике.
F = B l I sin α
Исследование, описанное в статье про закон электромагнитной индукции, подчеркивает ее значимость в современном мире. Надеюсь, что теперь ты понял что такое закон электромагнитной индукции, эакон электромагнитных сил и для чего все это нужно, а если не понял, или есть замечания, то не стесняйся, пиши или спрашивай в комментариях, с удовольствием отвечу. Для того чтобы глубже понять настоятельно рекомендую изучить всю информацию из категории Теория электромагнитного поля
Комментарии
Оставить комментарий
Теория электромагнитного поля
Термины: Теория электромагнитного поля