Лекция
Привет, Вы узнаете о том , что такое уравнения максвелла в дифференциальной форме, Разберем основные их виды и особенности использования. Еще будет много подробных примеров и описаний. Для того чтобы лучше понимать что такое уравнения максвелла в дифференциальной форме , настоятельно рекомендую прочитать все из категории Теория электромагнитного поля.
В теории электромагнитного поля обычно оперируют уравнениями Максвелла в дифференциальной форме в силу их значительных преимуществ перед уравнениями Максвелла в интегральной форме.

Эти преимущества таковы:
а) дифференциальные уравнения представляют собой наиболее адекватное описание поля, поскольку они определяют физические величины в каждой точке пространства;
б) дифференциальные уравнения более удобны для решения необъятного количества частных задач.
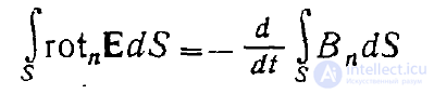
Преобразуем уравнения Максвелла в интегральной форме в
уравнения максвелла в дифференциальной форме . При этом будем пользоваться формулами Стокса и теоремой Остроградского—
Гаусса. В первом и втором уравнениях Максвелла производим преобразование по формуле Стокса.

Рис. 1
Согласно этой формуле имеем:

Считаем поверхность S плоской площадкой, ограниченной контуром, и настолько малой (рис. 1), что вместо

можем записать:

Здесь полная производная по времени "заменена частной производной, потому что
в последнем равенстве—это средние значения этих величин на очень малой площадке AS, т. е.
это почти их значения в точке. Следовательно,
здесь являются уже функциями не только времени, но и координат.
Поскольку последнее равенство должно выполняться для произвольно
ориентированной площадки
', то оно может выполняться только тогда, когда имеет место равенство

Смысл этого уравнения — вихрь вектора напряженности электрического поля в какой-либо точке равен скорости изменения вектора магнитной индукции с обратным знаком в той ж е точке. Об этом говорит сайт https://intellect.icu . Второе уравнение Максвелла аналогичным образом представляется в виде

Вводим в рассмотрение плотность тока J по формуле

берем произвольную достаточно малую площадку Δ5 и получаем

Поскольку это равенство должно выполняться для произвольным, образом ориентированной площадки
, то оно будет выполняться только тогда, когда имеет место равенство

Смысл этого уравнения: вихрь вектора напряженности магнитного поля в какой-либо точке равен сумме плотностей токов — тока проводимости и тока смещения.
В третьем и четвертом уравнениях Максвелла производим преобразования по теореме Остроградского—Гаусса.
Одновременно вводим в рассмотрение плотность зарядов по формуле

Тогда вместо третьего и четвертого уравнений Максвелла получаем

Эти соотношения должны выполняться для произвольных объемов и в том" числе для достаточно малого Л V, и мы можем записать

Отсюда получем вторую па,ру уравнений Максвелла

то есть расходимость вектора электрического смещения в какой-либо точке равна плотности электрических зарядов в этой же точке, а расходимость вектора магнитной индукции везде равна нулю.
Таким образом, система уравнений Максвелла такова:

Эта система уравнений является наиболее фундаментальной системой уравнений современной физики. Вполне разумным является вопрос: почему наиболее фундаментальные законы природы — законы электромагнитных явлений описываются уравнениями именно такого вида ?К сожалению, современная физика на этот вопрос не в состоянии ответить.
Как мы видели, из уравнений Максвелла как Следствие вытекает закон сохранения зарядов. Формулировка этого закона в дифференциальной форме получается соответственно из уравнений Максвелла
в дифференциальной форме.
В силу того, что 
из уравнения I I находим

Учитывая уравнение I I I , получаем

Это — уравнение непрерывности—и является указанной формулировкой закона сохранения аа>рядов в дифференциальной форме.
Найдем формулировку для силы, действующей в электромагнитном поле в дифференциальной форме. Из закона Кулона следует, что на заряд Δq действует сила

а из закона Ампера для силы, действующей со стороны магнитного поля с вектором магнитной индукции В на ток / элемента длины
іН, имеем

Как известно, направление действия этой силы устанавливается правилом правой руки — направление тока по большому пальцу, направление магнитного поля (вектор В) по остальным пальцам, тогда направление силы A F M будет перпендикулярно ладони.
Ток / определяется формулой

Поэтому

Суммарная сила, действующая на движущийся заряд Δq, равна

Отсюда получаем выражение для силы Лорентца, действующей на единицу объема (плотности силы Лорентца):

Исследование, описанное в статье про уравнения максвелла в дифференциальной форме, подчеркивает ее значимость в современном мире. Надеюсь, что теперь ты понял что такое уравнения максвелла в дифференциальной форме и для чего все это нужно, а если не понял, или есть замечания, то не стесняйся, пиши или спрашивай в комментариях, с удовольствием отвечу. Для того чтобы глубже понять настоятельно рекомендую изучить всю информацию из категории Теория электромагнитного поля
Из статьи мы узнали кратко, но содержательно про уравнения максвелла в дифференциальной формеОтветы на вопросы для самопроверки пишите в комментариях, мы проверим, или же задавайте свой вопрос по данной теме.
Комментарии
Оставить комментарий
Теория электромагнитного поля
Термины: Теория электромагнитного поля