Лекция
Привет, Вы узнаете о том , что такое магнитостатика, Разберем основные их виды и особенности использования. Еще будет много подробных примеров и описаний. Для того чтобы лучше понимать что такое магнитостатика, поле постоянного тока, поле постоянного магнита , настоятельно рекомендую прочитать все из категории Теория электромагнитного поля.
Магнитоста́тика — раздел классической электродинамики, в котором изучаются свойства стационарного магнитного поля (поля постоянных электрических токов или постоянных магнитов) , рассматриваются способы расчета магнитного поля постоянных токов и анализируется взаимодействие токов посредством создаваемых ими полей.
Реальные электромагнитные поля всегда в какой-то мере изменяются со временем. Для их описания существуют уравнения Максвелла. Под приближением магнитостатики (случаем магнитостатики) на практике понимают достаточно медленное изменение полей, чтобы можно было считать их постоянными с приемлемой точностью и оперировать более простыми уравнениями.
магнитостатика вместе с электростатикой представляют собой подобласти электродинамики; их подходы можно использовать совместно и независимо, поскольку расчет электрического и магнитного полей в этом случае не имеет взаимозависимостей.
В рамках магнитостатики изучается как ситуация вакуума, так и ситуация магнитной среды — магнетика. При этом любая среда рассматривается макроскопически, то есть поля на атомных масштабах усредняются, молекулярные токи и магнитные моменты рассматриваются только в их совокупности.
Уравнения Максвелла

и материальное уравнение
(1)
описывают закономерности магнитостатики. Поле постоянных магнитов является частным случаем магнитостатики, который имеет место при j = 0.
Уравнение IV утверждает, что вектор В соленоидален и поскольку
, то можно положить
. (2)
Считая
и подставляя это выражение для В с учетом ( I ) в уравнение I I , получаем
. (3)
Воспользуемся тождеством

и полагая
(4)
найдем вектор А; апостериори убедимся, что это условие выполняется.
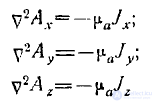
В результате (3) представится тремя скалярными уравнениями
Пуассона или одним векторным уравнением Пуассона

или одним векторным уравнением Пуассона

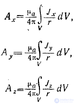
Аналогично решению

уравнения Пуассона для электрического потенциала

мы можем написать

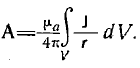
и соответственно

Покажем, что условие (4) действительно выполняется. В самом деле, так как в дифференциальной операции divA дифференцирование
.производится по координатам точки наблюдения, т. е. по координатам х, у, z, входящим только в выражении

то

Здесь замкнутая поверхность 5 должна быть взята столь больших размеров, чтобы ею были охвачены все токи, не пересекая их.
Поэтому поверхностный интеграл равен нулю и, действительно,
div А = 0 . '
Так как
то токи в магнитостатике всегда замкнуты и поэтому на практике в большинстве случаев имеют дело с линейными замкнутыми токами.
Для этих случаев найдем векторный потенциал (рис. Об этом говорит сайт https://intellect.icu . 1).

рис. 1
Имеем

и, следовательно,
(5)
Магнитное поле равно

Это хорошо известный з акон Био- Савара .
Вычислим поле кругового витка тока. Пусть плоскость витка лежит в координатной плоскости ху и точку наблюдения будем считать лежащей в плоскости xz (рис. 2).

Рис. 2
Как видно из формулы (5), вектор А не имеет составляющей по оси oz.
Рассмотрим выражение для векторного потенциала, создаваемого каким-либо из 4 элементов тока длины dl (рис. 2):

Как видно из (рис. 2)

Будем вычислять вектор А на больших расстояниях по сравнению с радиусом а кругового витка тока, тогда, как видно из рис. 2,

п мы получаем

Отсюда
(6)
(S — площадь витка), причем

где
— единичный вектор координатной линии гр сферической системы координат г, Ф, ф, (рис. 2 ) .
Имея в виду, что B = rot А в тон же системе координат, будем иметь

откуда, обозначая IS = m, получаем
(7)
Сопоставляя эту формулу с выражением для напряженности поля электрического диполя

видим, что круговой виток с током эквивалентен диполю - магнитному диполю с моментом
(8)
где п — нормаль к плоскости витка.
Рассмотрим очень длинный соленоид, по .виткам которого протекает ток / и соответственно на единицу длины ток I1 = NI, где N — число витков на единицу длины.
Поскольку вне соленоида ноле Н = 0 согласно I I уравнению Максвелла в интегральной форме, где интеграл
берется по контуру, указанному на рис. 3,
для поля внутри соленоида получим (рис. 3,а)
(9)

Рис. 3
Ампер впервые обнаружил, что если внутрь соленоида поместить железный сердечник, то вектор магнитной индукции В изменяется — он увеличивается.
Ампер предположил, что это увеличение происходит в результате того, что на поверхности сердечника появляется добавочный ток — поверхностный ток намагничения
, создаваемый молекулярными круговыми токами (рис. 3,6).
Каждая молекула представляет собой круговой ток с днпольным моментом
( р и с . 3,е) и согласно формуле (8) можем для суммарного момента молекул, находящихся в объеме единицы длины сердечника,
написать

где S — площадь сердечника
— поверхностный ток намагничения на единицу длины сердечника.
В последней формуле учтено, что при суммировании круговых молекулярных токов остается только переферийный, поверхностный ток.
Можно внести в рассмотрение вектор магнитного момента единицы объема сердечника, по величине равный
(10)
Сопоставляя формулы (10) и (9), заключаем, что
связан с M аналогично тому, как ток / связан с И, т. е. аналогично соотношению

можем написать

Отсюда делаем вывод о том, что существует не только поверхностный ток намагничения, но и объемный ток намагничения, плотность 
которого определяется в соответствии с последним интегральным соотношением формулой Стокса

То есть

Таким образом, согласно второму уравнению Максвелла внутри вещества имеет место равенство

откуда

и есть напряженность магнитного поля в веществе.
Из этого соотношения получаем

В большинстве веществ вектор M прямо пропорционален вектору Н, т. е.

где
— магнитная восприимчивость. Так что

и относительная магнитная проницаемость равна

При
вещество—парамагнетик,
при
вещество —диамагнетик,
причем в обоих случаях
-
При
вещество— ферромагнетик.
Итак, внутри вещества постоянного магнита согласно четвертому уравнению'Максвелла

можем написать

Величину —div M формально можем трактовать как объемную плотность «магнитных зарядов»

В этом- случае уравнения Максвелла принимают вид уравнений

которые формально аналогичны уравнениям Максвелла для электростатики:'

Следовательно, в магнитостатике постоянных магнитов можем, как и в электростатике, ввести понятия магнитного потенциала
по формуле

который удовлетворяет уравнению Пуассона •

решением которого является выражение

В частности, поле магнитного диполя на больших расстояниях можно рассматривать как поле двух «магнитных зарядов» и соответственно потенциал его будет равен

где m — момент диполя.
В качестве примера применения полученных в п. 4 формул рассмотрим ферромагнитный шар в однородном магнитном поле Н0 (рис. 4). Здесь граничные условия на поверхности шара для потенциала аналогичны граничным условиям в случае диэлектрического шара, т. е.


Рис. 4
Поэтому здесь можно воспользоваться готовым решением для диэлектрического шара (формулы (8) и (9) лекции 9), но с учетом отличия выражений для потенциалов электрического и магнитного
диполя

В результате получаем для поля внутри шара

и для магнитного момента воображаемого диполя

При 

Аналогично фактору диполяризацип здесь вводят в рассмотрение размагничивающий фактор, который определяется формулой

В рассматриваемом случае ферромагнитного шара, учитывая, что


как и в случае диэлектрического шара.
Исследование, описанное в статье про магнитостатика, подчеркивает ее значимость в современном мире. Надеюсь, что теперь ты понял что такое магнитостатика, поле постоянного тока, поле постоянного магнита и для чего все это нужно, а если не понял, или есть замечания, то не стесняйся, пиши или спрашивай в комментариях, с удовольствием отвечу. Для того чтобы глубже понять настоятельно рекомендую изучить всю информацию из категории Теория электромагнитного поля
Из статьи мы узнали кратко, но содержательно про магнитостатика
Комментарии
Оставить комментарий
Теория электромагнитного поля
Термины: Теория электромагнитного поля