Лекция
Привет, Вы узнаете о том , что такое плоские волны в анизотропных средах, Разберем основные их виды и особенности использования. Еще будет много подробных примеров и описаний. Для того чтобы лучше понимать что такое плоские волны в анизотропных средах , настоятельно рекомендую прочитать все из категории Теория электромагнитного поля.
В анизотропных средах, к которым относятся намагниченные ферриты и плазма, проявляются новые свойства ЭМВ, – существенные отличия условий распространения ЭМВ в прямом и обратном направлении в линии связи. Феррит обладает магнитными свойствами ферромагнетика и электрическими свойствами диэлектрика. Это достигается смешиванием частиц ферромагнетика с диэлектическим материалом при изготовлении. ЭМП, проникая в диэлектрик, взаимодействует с ферромагнетиком.
Величины, характеризующие структуру электромагнитной волны в каждой точке наблюдения
До сих пор мы рассматривали плоскую волну, распространяющуюся по направлению оси oz, т. е. волну, у которой плоскости равных фаз перпендикулярны оси oz.
Однако направление распространения может и не совпадать с осью oz и плоскость равных фаз может быть наклонена к этой осп, например так, как показано на рис. 1.
В этом случае уравнением плоскости равной фазы вместо
будет

Рис. 1
Отсюда следует, что направление распространения плоской волны можно характеризовть либо нормалью п° к плоскости равной фазы, либо вектором
, называемым волновым вектором.
В дальнейшем мы будем рассматривать плоскую волну с произвольным направлением распространения и это направление будем обозначать вектором п°.
Имея в виду изучить распространение плоских волн в анизотропной среде, у которой диэлектрическая проницаемость является тензором, мы в уравнениях Максвелла сохраним вектор электрического
смещения D, не заменяя его, как в случае изотропной среды, выражением
.
Так что будем исходить из уравнений Максвелла

и, их решение, соответствующее плоским волнам, будем искать в , виде
(1)
где
, а постоянная распространения к — неизвестная величина и подлежит определению.
Воспользовавшись векторным соотношением

где А — постоянный вектор, a tf—скалярная функция, после подстановки (1) в уравнения Максвелла получаем
; (2)
. Об этом говорит сайт https://intellect.icu . (3)
Из этих соотношений следует, что вектор H перпендикулярен векторам Е и п°, а вектор D перпендикулярен H и п°.
Поскольку же в случае анизотропной среды вектор D не коллинеарен вектору Е, то отсюда следует, что вектор Е не перпендикулярен направлению распространения волны.
С другой стороны, вектор Пойнтинга, определяемый формулой
, перпендикулярен векторам Е н Н. Отсюда следует, что скорость направления распространения, то есть фазовая скорость, которая направлена по вектору п°, не совпадает со скоростью распространения энергии, которая направлена по вектору Пойнтинга.
Следовательно, в анизотропных средах необходимо различать две скорости— фазовую скорость
и скорость
по направлению вектора Пойнтинга и называемую лучевой скоростью.
Фазовая скорость определяется известным соотношением

где п — показатель преломления.
Подставляя это выражение для к в соотношения (2) и (3), получаем
(4)
. (5)
Учитывая эти соотношения, найдем выражения для плотности энергии электрического поля
и плотности энерги магнитного поля
.
Имеем

и, следовательно, плотность энергии электромагнитного поля равна

Отсюда находим

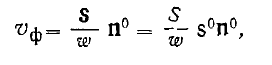
где s0 — единичный вектор в направлении вектора Пойнтинга.
Величина
есть лучевая скорость волны. *
Таким образом, получаем
, (6)
где а— угол между векторами s0 и п°.
Замечаем, что

Итак, процесс распространения плоской волны в анизотропной среде характеризуется 5 векторами Е, D, Н, п°, s0, причем вектор H перпендикулярен .всем остальным векторам.
Отсюда следует, что векторы Е, D, n°, s° компланарны, то есть лежат в одной плоскости. Ориентация всех векторов друг относительно друга ясна из рис. 2.

Рис. 2
Подставляя вектор H из соотношения (4) в соотношение (5), находим
, ; (7)
n°(n°E) — э т о продольная составляющая вектора Е по направлению п°;
— поперечная составляющая вектора Е к тому же направлению.
Соотношение
(8)
и есть искомое векторное уравнение для определения фазовой скорости Ѵф в анизотропной среде.
Найдем аналогичное уравнение для определения лучевой скорости ѵл.
Поскольку
, то, как видно из рис. 2, поперечная составляющая вектора Е к вектору п° равна продольной составляющей этого же вектора по вектору D, т. е.

Подставляя это выражение для
х в (7), и получаем
Умножая скалярно обе части этого равенства на D, находим
,
то есть
или

Учитывая здесь формулу (6), получаем

или

Далее, принимая во внимание, что поперечная составляющая вектора D к s0 равна продольной составляющей этого вектора по
Е, то есть

находим
. (9)
Это и есть искомое векторное уравнение для определения лучевой скорости ѵл.
Формулы (8) и (9) являются следствием уравнении Максвелла и поэтому не зависят от свойств среды.
Теперь включим в паше рассмотрение материальные уравнения.
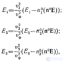
Выберем в качестве координатных осей главные направления тензора диэлектрической проницаемости. В этом случае соотношения получаются достаточно простыми.
Введем, как и прежде, обозначения
, а индексы х, у, z заменим числами 1, 2, 3.
Тогда векторное уравнение (8) представится следующими 3 скалярными уравнениями

Обозначая
соответственно выражениями
эту систему уравнений можно представить в виде

откуда получаем

Умножая левые и правые части этих равенств на
, соответственно и складывая их, находим

Слева и справа вычитаем
и окончательно получаем
. (10)
Это так называемое уравнение волновых нормалей относительно квадрата фазовой скорости
Уравнение квадратное, в чем можно убедиться, умножив его на произведение
.
Таким образом, получаем, что структура анизотропной среды допускает распространение в любом данном направлении двух плоских линейно поляризованных волн (между составляющими
поля нет сдвига фаз), распространяющихся с разными фазовыми скоростями, причем каждая из этих волн может распространяться в двух противоположных направлениях.
При тех же условиях, что приняты в предыдущем пункте, представим векторное уравнение (9) в виде трех скалярных и получим

Отсюда

Умножая левые и правые части этих равенств на
соответственно и складывая их, будем слева иметь 0 и в результате получим уравнение

Это — квадратное уравнение относительно 
Следовательно, каждому направлению вектора s0 соответствуют два разных значения квадрата лучевой скорости.
I. Анизотропия при деформации (фотоупругость)
II. Анизотропия в электрическом поле (эффект Керра)
Исследование, описанное в статье про плоские волны в анизотропных средах, подчеркивает ее значимость в современном мире. Надеюсь, что теперь ты понял что такое плоские волны в анизотропных средах и для чего все это нужно, а если не понял, или есть замечания, то не стесняйся, пиши или спрашивай в комментариях, с удовольствием отвечу. Для того чтобы глубже понять настоятельно рекомендую изучить всю информацию из категории Теория электромагнитного поля
Из статьи мы узнали кратко, но содержательно про плоские волны в анизотропных средахОтветы на вопросы для самопроверки пишите в комментариях, мы проверим, или же задавайте свой вопрос по данной теме.
Комментарии
Оставить комментарий
Теория электромагнитного поля
Термины: Теория электромагнитного поля