Лекция
Привет, Вы узнаете о том , что такое закон полного тока, Разберем основные их виды и особенности использования. Еще будет много подробных примеров и описаний. Для того чтобы лучше понимать что такое закон полного тока , настоятельно рекомендую прочитать все из категории Теория электромагнитного поля.
закон полного тока был открыт Ампером и носит его имя.

Рисунок 2.4
Математически его можно записать в следующем виде:
(2.11)
а его словесная формулировка гласит:
Циркуляция напряженности магнитного поля H r
по замкнутому контуру
L (рис.2.4) численно равна току проводимости I, пересекающему поверхность S, ограничивающая этим контуром.
Выражение (2.11) является интегральной формой рассматриваемого закона. Найдем его дифференциальный аналог, полагая, что ток I в правой части равенства является объемным. В таком случае ток I, текущий сквозь поверхность S, можно выразить через его объемную плотность

. Левую часть (2.11) преобразуем с помощью теоремы Стокса

В результате этих операций получим 
, откуда следует равенство:
, (2.12)
которое представляет собой дифференциальную форму закона полного тока. Необходимо отметить, что данный закон был получен Ампером для постоянных токов.

Анализируя его, Максвелл пришел к выводу, что закон в данном виде не пригоден для описания переменных токов. Об этом говорит сайт https://intellect.icu . Для выяснения причины такого вывода рассмотрим электрическую цепь переменного тока с конденсатором (рис.2.5) и попытаемся найти циркуляцию C магнитного поля по контуру L , охватывающему провод. Равенство (2.11) дает неоднозначное решение этой задачи.

Рисунок 2.5
Действительно, если поверхность интегрирования S, опирающуюся на контур L, выбрать таким образом, чтобы она пересекала провод с током, т. е. S = S1, то тогда циркуляция вектора Hr
по выбранному контуру окажется равной току в проводе: C1 = I . Если же поверхность S, опирающуюся на тот же контур L, провести иным способом, чтобы она не пересекала провод, а проходила
между обкладками конденсатора, где нет тока проводимости, то C2 = 0.
Т.о. циркуляция 1 C вектора Hr по контуру L оказывается неравной циркуляции C2 по тому же контуру, что является нонсенсом.
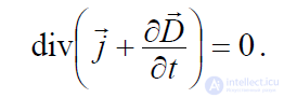
Кроме того, можно показать, что закон полного тока (212) противоречит закону сохранения заряда. Действительно, если применить операцию div к обеим частям равенства (2.12):

учесть, что
r
(Б.21), то получим, что 
r
вместо того, чтобы соблюдался закон сохранения заряда:

. Попробуем исправить это недоразумение, подставив в последнее равенство вместо плотности заряда ρ
ее выражение через индукцию электрического поля
закон Гаусса).
В результате получим: 
откуда

.
Максвелл предположил, что выражение, стоящее в скобках, т.е. 
, в общем случае должно стоять в правой части закона полного тока, дифференциальная форма которого в этом случае приобретает новый вид:
(2.13)
Перейдем к интегральной форме обобщенного закона полного тока, для чего проинтегрируем левую и правую часть последнего равенства по поверхности S

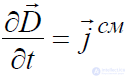
и, применяя к левой части теорему Стокса, окончательно находим
см

, (2.14)
где см

– ток смещения, а j см
– плотность тока смещения.
Обобщенный закон полного тока в виде (2.13)-(2.14) уже не противоречит
закону сохранения заряда и объясняет парадокс, обнаруженный при рассмотрении схемы (рис.2.5). Циркуляция 
по выбранному контуру L не может зависеть от выбора формы поверхности S, по которой ведется интегрирование в правой части равенства (2.14), поэтому должно соблюдаться соотношение
, (2.15)
устанавливающее равенство тока проводимости в проводнике и тока смещения между обкладками конденсатора. Таким образом, несмотря на кажущийся разрыв цепи между обкладками конденсатора, она оказывается замкнутой токами смещения, при этом в контуре наблюдается непрерывность тока, описываемая в теории электрических цепей 1-м законом Кирхгофа.
Исследование, описанное в статье про закон полного тока, подчеркивает ее значимость в современном мире. Надеюсь, что теперь ты понял что такое закон полного тока и для чего все это нужно, а если не понял, или есть замечания, то не стесняйся, пиши или спрашивай в комментариях, с удовольствием отвечу. Для того чтобы глубже понять настоятельно рекомендую изучить всю информацию из категории Теория электромагнитного поля
Из статьи мы узнали кратко, но содержательно про закон полного тока
Комментарии
Оставить комментарий
Теория электромагнитного поля
Термины: Теория электромагнитного поля