Лекция
Привет, Вы узнаете о том , что такое решение уравнений максвелла, Разберем основные их виды и особенности использования. Еще будет много подробных примеров и описаний. Для того чтобы лучше понимать что такое решение уравнений максвелла, метод запаздывающих потенциалов , настоятельно рекомендую прочитать все из категории Теория электромагнитного поля.
До сих пор мы изучали поле электромагнитных волн, не интересуясь источниками электромагнитного поля. Теперь же мы должны рассмотреть вопрос о том, как связано электромагнитное поле с его источниками, т. е. как .излучаются электромагнитные волны.
В этом случае должна решаться полная система уравнений Максвелла без каких-либо пренебрежений, причем источники, т. е.токи и з а р я ды должны считаться известными.
Итак, требуется решить систему уравнений
при заданных плотностях тока j и заряда р.
Уравнение I V сразу удовлетворяется введением в шторного.потенциала
. (1)
Подставляя это выражение для В в уравнение (1), получаем

или

Отсюда следует, что
, (2)
т. е.
,
где
скалярный потенциал.
Будем считать, что среда—однородный диэлектрик, т. е

Учитывая соотношения
, подставляем (1) и (2) в уравнение Максвелла I I и получаем

Далее используем векторное тождество

где
— оператор Лапласа, применяемый к прямоугольным составляющим вектора А и находим

Полагаем, что
, (3)
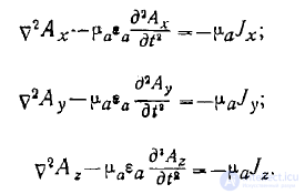
и получаем волновое уравнение для,векторного потенциала А:
. (4)
Соотношение (3) называется условием Лорентца. На условии Лорентца мы еще остановимся несколько позже.
Найдем также уравнение для <р. Д л я этого подставим (2) в уравнение Максвелла III и получим

Воспользовавшись условием Лорентца, подставляем в это уравнение
и находим волновое уравнение для скалярного потенциала:
(5)
Теперь об условии Лорентца. Об этом говорит сайт https://intellect.icu . Наиболее убедительным доказательством того, что условие Лорентца не навязано, является то, что
, полученные из уравнении (4) и (5), действительно ему удовлетворяют.
Но это имеет место только в том случае, если заданные плотности тока J и заряда р удовлетворяют уравнению непрерывности
т. е. удовлетворяют закону сохранения зарядов.
Таким образом, условие Лорентца как бы контролирует правильность задания J и р.
Решим сначала волновое уравнение (5) для скалярного потенциала
Предположим, что заряд (источник поля) точечный. Тогда всюду (за исключением одной точки) удовлетворяется уравнение

причем в силу центральной симметрии

и последнее уравнение представляется в-виде или, при обозначении 

Решения этого одномерного волнового уравнения нам хорошо известны.
Решениями f могут быть функции аргументов

где
скорость распространения волны.
Функция
— решение, имеющее смысл сходящихся к источнику волн,— физически неприемлемо.
Функция
—расходящиеся от источника волны — соответствует смыслу источника.
Поэтому искомое решение

Найдем функцию
Для этого проинтегрируем обе части уравнения (5) по объему сферы радиуса г и с центром в точке расположения источника, т. е. заряда q(t) :

Устремим
, тогда получим

т. е.

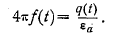
Следовательно,
и 
Величина
— время запаздывания. Смысл поледнего ясен.
Потенциал в точке, находящейся на расстоянии г от заряда q, определяется значением заряда не в момент а его значением в более ранний момент
, т. е. значением 
.
.Поэтому потенциал
и называется запаздывающим.
Если имеется п точечных зарядов (рис. 1), то потенциал этой системы зарядов в точке наблюдения будет равен
Отсюда, перейдя к непрерывному распределению зарядов в объеме V (рис. 2), получим
(6)
где


Рис. 1 Рис. 2
Получим теперь .решение уравнения (4) для векторного потенциала А. Это уравнение можно представить в виде трех скалярных волновых уравнений

Пользуясь аналогией этих уравнений с уравнением для скалярного запаздывающего потенциала, можем написать

Умножая левые и правые части этих равенств на единичные координатные векторы
и складывая, получаем
. (7)
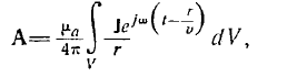
Определяемые формулами (6) и (7) функции
и А называются соответственно скалярным и векторным запаздывающими потенциалами.
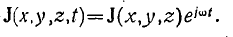
Если источники меняются во времени по гармоническому закону, то зависимость величии от времени должна представляться фазовым множителем, учитывающим запаздывание 
Тогда, например, запаздывающий потенциал (7) примет вид

где J будет являться функцией только координат.
Учитывая, что
волновое число, можно выражение для векторного потенциала представить так
. (8)
где теперь под J следует подразумевать функцию
(9)
В дальнейшем будем пользоваться представлением векторного потенциала А формулой (8) и под плотностью тока J понимать функцию (9)
Исследование, описанное в статье про решение уравнений максвелла, подчеркивает ее значимость в современном мире. Надеюсь, что теперь ты понял что такое решение уравнений максвелла, метод запаздывающих потенциалов и для чего все это нужно, а если не понял, или есть замечания, то не стесняйся, пиши или спрашивай в комментариях, с удовольствием отвечу. Для того чтобы глубже понять настоятельно рекомендую изучить всю информацию из категории Теория электромагнитного поля
Из статьи мы узнали кратко, но содержательно про решение уравнений максвелла
Комментарии
Оставить комментарий
Теория электромагнитного поля
Термины: Теория электромагнитного поля