Лекция
Привет, Вы узнаете о том , что такое 30. Химические свойства, получение и применение альдегидов, Разберем основные их виды и особенности использования. Еще будет много подробных примеров и описаний. Для того чтобы лучше понимать что такое 30. Химические свойства, получение и применение альдегидов , настоятельно рекомендую прочитать все из категории Общая химия.
Химические свойства альдегидов прежде всего обусловлены наличием в их молекулах альдегидной группы. По месту двойной связи альдегидной группы могут протекать реакции присоединения.
1. Гидрирование. Присоединение водорода
Молекула альдегида может присоединить по двойной связи молекулу водорода. Такая реакция сопровождаются разрывом π-связи в молекуле альдегида, так как она менее прочная, чем σ-связь:

Условия протекания данной реакции схожи с реакцией гидрирования алкенов: смесь водорода с парами альдегида пропускают над нагретым никелевым катализатором.
Продуктом присоединения водорода к альдегиду является первичный спирт.
В результате присоединения водорода молекула альдегида восстанавливается, поэтому реакцию с водородом также называют реакцией восстановления альдегидов.
2. Окисление
Альдегидная группа легко окисляется. В качестве окислителей могут выступать ионы металлов, расположенных в ряду активности правее водорода — ионы серебра (Ag+) и меди (Cu2+).
Окисление альдегидов аммиачным раствором оксида серебра
Если к разбавленному раствору нитрата серебра приливать раствор аммиака, то выпадает белый осадок оксида серебра:


Видео 30.1
Реакция "серебряного
зеркала"
Этот осадок сразу же растворяется в избытке аммиака. Образующийся прозрачный раствор называется аммиачным раствором оксида серебра. Если к этому раствору прибавить раствор уксусного альдегида и смесь осторожно нагреть, то вскоре на стенках пробирки образуется блестящий зеркальный налет серебра, благодаря чему эта реакция называется реакцией «серебряного зеркала».
В протекающей реакции уксусный альдегид окисляется до уксусной кислоты, а оксид серебра восстанавливается с образованием металлического серебра:

Реакция «серебряного зеркала» является качественной реакцией на альдегиды.
Окисление альдегидов гидроксидом меди(II)
В качестве окислителя альдегидов до соответствующих кислот может быть использован также гидроксид меди(II). Для проведения такой реакции в пробирку помещают раствор сульфата меди(II), затем прибавляют раствор щелочи. При этом выпадает голубой осадок гидроксида меди(II):

Затем в пробирку с осадком добавляют водный раствор альдегида и смесь нагревают. В процессе нагревания изначально голубой осадок становится желтым, а при дальнейшем нагревании — красным. Уравнение протекающей реакции:
Как видно из приведенного уравнения реакции, в результате восстановления гидроксида меди(II) образуется желтый осадок гидроксида меди(I), который при нагревании разлагается с образованием красного оксида меди(I).
Как и в случае реакции «серебряного зеркала», продуктом окисления альдегида является карбоновая кислота.
Реакция окисления альдегидов гидроксидом меди(II) так же, как и реакция «серебряного зеркала», является качественной реакцией на альдегиды.
Способность альдегидов окисляться до карбоновых кислот и восстанавливаться до спиртов особенно наглядно демонстрирует взаимосвязь между классами органических соединений, благодаря которой вещества одного класса могут быть получены из представителей других классов.
1. Об этом говорит сайт https://intellect.icu . Неполное окисление спиртов
Как вы уже знаете, альдегиды могут быть получены при неполном окислении первичных спиртов оксидом меди(II) (§ 24). Так, при окислении этилового спирта образуется уксусный альдегид:
Для проведения реакции медную проволоку прокаливают в пламени спиртовки, в результате поверхность проволоки покрывается черным оксидом меди(II). Затем проволоку погружают в этиловый спирт, при этом оксид меди(II) окисляет спирт до уксусного альдегида и образуется медь, поэтому проволока снова становится блестящей (видео 24.1).
2. Гидратация ацетилена
Уксусный альдегид можно получить по реакции присоединения воды к ацетилену в присутствии солей ртути и серной кислоты:
Эта реакция носит имя русского химика Михаила Григорьевича Кучерова.

Напомним, что радикал CH2
CH
имеет тривиальное называние винил. Спирты, у которых гидроксильная группа находится при двойной связи C
C, неустойчивы, поэтому виниловый спирт сразу же превращается в уксусный альдегид:
С промышленным методом получения уксусного альдегида вы можете познакомиться, перейдя по ссылке в QR-коде.
Наибольшее применение имеют муравьиный и уксусный альдегиды.
Некоторые области использования муравьиного альдегида основаны на его свойстве свертывать белки. Он используется в медицине в качестве консерванта биологических тканей. Формальдегид широко применяется в кожевенном производстве, так как, оказывая влияние на белки кожи, он делает последнюю более твердой и устойчивой к гниению.
В результате взаимодействия формальдегида с аммиаком получают лекарственное средство — уротропин.
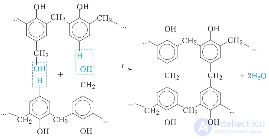
Кроме того формальдегид используется в производстве фенолформальдегидных пластмасс. Основу таких пластмасс составляет высокомолекулярное соединение — фенолформальдегидная смола. Она образуется при нагревании фенола с формальдегидом в присутствии катализатора. Механизм образования фенолформальдегидной смолы достаточно сложен и представлен схематически:

Как видно из приведенной схемы, в результате реакции образуется линейный полимер, в котором молекулы фенола соединены группами —CH2— через положения 2 и 6 бензольного кольца. Кроме этого, некоторые остатки фенола содержат в положении 4 бензольного кольца группы —CH2OH.
За счет групп —CH2OH при нагревании до 130—150 °С такой полимер «сшивается», образуя очень твердую и прочную фенолформальдегидную смолу с «сетчатой» структурой:
Материалы на основе фенолформальдегидных смол обычно изготавливают, смешивая расплавленный полимер линейного строения с наполнителем (древесная мука, стружки, асбест и др.). Далее полученный материал прессуют при нагревании. При этом расплавленный полимер хорошо заполняет форму, а затем затвердевает, образуя «сетчатую» структуру. В результате получается монолитное твердое изделие. Некоторые материалы, в которых фенолформальдегидная смола выступает в качестве связующего, вам хорошо знакомы. Например, некоторые виды ДСП (древесностружечная плита) представляют собой смесь древесных стружек, скрепленных между собой фенолформальдегидным полимером.
В процессе образования фенолформальдегидной смолы из низкомолекулярных веществ — фенола и формальдегида — в результате отщепления воды образуется высокомолекулярное вещество. Такой процесс называется поликонденсацией. Следует различать процессы поликонденсации и полимеризации. В процессе поликонденсации наряду с высокомолекулярным соединением образуется побочный низкомолекулярный продукт. В рассмотренной реакции поликонденсации фенола с формальдегидом этим продуктом является вода.
В процессе полимеризации высокомолекулярное вещество (полимер) образуется в результате многократно повторяющейся реакции присоединения. Поэтому, в отличие от поликонденсации, процесс полимеризации не сопровождается образованием побочных низкомолекулярных продуктов.
Уксусный альдегид в больших количествах используется для производства уксусной кислоты, а также других органических веществ.
|
Альдегиды вступают в реакции присоединения по месту двойной связи C Альдегиды окисляются гидроксидом меди(II) и аммиачным раствором оксида серебра до карбоновых кислот. Эти реакции являются качественными реакциями на альдегидную группу. Альдегиды могут быть получены окислением первичных спиртов оксидом меди(II). Уксусный альдегид можно получить присоединением воды к ацетилену в присутствии солей ртути и серной кислоты. Альдегиды используются для получения пластмасс, лекарственных препаратов, для синтеза органических веществ, а также в парфюмерии. |
В настоящее время уксусный альдегид получают в результате так называемого Вакер-процесса. Для этого газообразную смесь этилена с кислородом пропускают через водный раствор, содержащий хлориды палладия(II) и меди(II). Происходящие процессы можно выразить суммарным уравнением:

Исследование, описанное в статье про 30. Химические свойства, получение и применение альдегидов, подчеркивает ее значимость в современном мире. Надеюсь, что теперь ты понял что такое 30. Химические свойства, получение и применение альдегидов и для чего все это нужно, а если не понял, или есть замечания, то не стесняйся, пиши или спрашивай в комментариях, с удовольствием отвечу. Для того чтобы глубже понять настоятельно рекомендую изучить всю информацию из категории Общая химия
Ответы на вопросы для самопроверки пишите в комментариях, мы проверим, или же задавайте свой вопрос по данной теме.
Комментарии
Оставить комментарий
Органическая химия
Термины: Органическая химия