Вам бонус- начислено 1 монета за дневную активность. Сейчас у вас 1 монета

Приложение 1. Электронное строение атомов химических элементов малых периодов (I–III) кратко

Лекция



Привет, Вы узнаете о том , что такое Приложение 1. Электронное строение атомов химических элементов малых периодов (I–III), Разберем основные их виды и особенности использования. Еще будет много подробных примеров и описаний. Для того чтобы лучше понимать что такое Приложение 1. Электронное строение атомов химических элементов малых периодов (I–III) , настоятельно рекомендую прочитать все из категории Неорганическая химия.

. Об этом говорит сайт https://intellect.icu

Приложение 1. Электронное строение атомов химических элементов малых периодов (I–III)

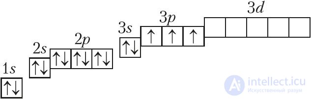
Электронная схема Электронная конфигурация Электронно-графическая схема
Приложение 1. Электронное строение атомов химических элементов малых периодов (I–III) или 1Н 1е 1H 1s1 1H Приложение 1. Электронное строение атомов химических элементов малых периодов (I–III)
Приложение 1. Электронное строение атомов химических элементов малых периодов (I–III) или 2Нe 2е 2He 1s2 2He Приложение 1. Электронное строение атомов химических элементов малых периодов (I–III)
Приложение 1. Электронное строение атомов химических элементов малых периодов (I–III) или 3Li 2е, 1e 3Li 1s22s1 3Li Приложение 1. Электронное строение атомов химических элементов малых периодов (I–III)
Приложение 1. Электронное строение атомов химических элементов малых периодов (I–III) или 4Be 2е, 2e 4Be 1s22s2 4Be Приложение 1. Электронное строение атомов химических элементов малых периодов (I–III)
Приложение 1. Электронное строение атомов химических элементов малых периодов (I–III) или 5B 2е, 3e 5B 1s22s22p1 5B Приложение 1. Электронное строение атомов химических элементов малых периодов (I–III)
Приложение 1. Электронное строение атомов химических элементов малых периодов (I–III) или 6C 2е, 4e 6C 1s22s22p2 6C Приложение 1. Электронное строение атомов химических элементов малых периодов (I–III)
Приложение 1. Электронное строение атомов химических элементов малых периодов (I–III) или 7N 2е, 5e 7N 1s22s22p3 7N Приложение 1. Электронное строение атомов химических элементов малых периодов (I–III)
Приложение 1. Электронное строение атомов химических элементов малых периодов (I–III) или 8O 2е, 6e 8O 1s22s22p4 8O Приложение 1. Электронное строение атомов химических элементов малых периодов (I–III)
Приложение 1. Электронное строение атомов химических элементов малых периодов (I–III) или 9F 2е, 7e 9F 1s22s22p5 9F Приложение 1. Электронное строение атомов химических элементов малых периодов (I–III)
Приложение 1. Электронное строение атомов химических элементов малых периодов (I–III) или 10Ne 2е, 8e 10Ne 1s22s22p6 10Ne Приложение 1. Электронное строение атомов химических элементов малых периодов (I–III)
Приложение 1. Электронное строение атомов химических элементов малых периодов (I–III) или 11Na 2е, 8e, 1e 11Na 1s22s22p63s1 11Na Приложение 1. Электронное строение атомов химических элементов малых периодов (I–III)
Приложение 1. Электронное строение атомов химических элементов малых периодов (I–III) или 12Mg 2е, 8e, 2e 12Mg 1s22s22p63s2 12Mg Приложение 1. Электронное строение атомов химических элементов малых периодов (I–III)
Приложение 1. Электронное строение атомов химических элементов малых периодов (I–III) или 13Al 2е, 8e, 3e 13Al 1s22s22p63s23p1 13Al Приложение 1. Электронное строение атомов химических элементов малых периодов (I–III)
Приложение 1. Электронное строение атомов химических элементов малых периодов (I–III) или 14Si 2е, 8e, 4e 14Si 1s22s22p63s23p2 14Si Приложение 1. Электронное строение атомов химических элементов малых периодов (I–III)
Приложение 1. Электронное строение атомов химических элементов малых периодов (I–III) или 15P 2е, 8e, 5e 15P 1s22s22p63s23p3 15P Приложение 1. Электронное строение атомов химических элементов малых периодов (I–III)
Приложение 1. Электронное строение атомов химических элементов малых периодов (I–III) или 16S 2е, 8e, 6e 16S 1s22s22p63s23p4 16S Приложение 1. Электронное строение атомов химических элементов малых периодов (I–III)
Приложение 1. Электронное строение атомов химических элементов малых периодов (I–III) или 17Cl 2е, 8e, 7e 17Cl 1s22s22p63s23p5 17Cl Приложение 1. Электронное строение атомов химических элементов малых периодов (I–III)
Приложение 1. Электронное строение атомов химических элементов малых периодов (I–III) или 18Ar 2е, 8e, 8e 18Ar 1s22s22p63s23p6 18Ar Приложение 1. Электронное строение атомов химических элементов малых периодов (I–III)

Исследование, описанное в статье про Приложение 1. Электронное строение атомов химических элементов малых периодов (I–III), подчеркивает ее значимость в современном мире. Надеюсь, что теперь ты понял что такое Приложение 1. Электронное строение атомов химических элементов малых периодов (I–III) и для чего все это нужно, а если не понял, или есть замечания, то не стесняйся, пиши или спрашивай в комментариях, с удовольствием отвечу. Для того чтобы глубже понять настоятельно рекомендую изучить всю информацию из категории Неорганическая химия

создано: 2025-04-19
обновлено: 2026-03-09
85



Рейтиг 9 of 10. count vote: 2
Вы довольны ?:


Поделиться:
Пожаловаться

Найди готовое или заработай

С нашими удобными сервисами без комиссии*

Как это работает? | Узнать цену?

Найти исполнителя
$0 / весь год.
  • У вас есть задание, но нет времени его делать
  • Вы хотите найти профессионала для выплнения задания
  • Возможно примерение функции гаранта на сделку
  • Приорететная поддержка
  • идеально подходит для студентов, у которых нет времени для решения заданий
Готовое решение
$0 / весь год.
  • Вы можите продать(исполнителем) или купить(заказчиком) готовое решение
  • Вам предоставят готовое решение
  • Будет предоставлено в минимальные сроки т.к. задание уже готовое
  • Вы получите базовую гарантию 8 дней
  • Вы можете заработать на материалах
  • подходит как для студентов так и для преподавателей
Я исполнитель
$0 / весь год.
  • Вы профессионал своего дела
  • У вас есть опыт и желание зарабатывать
  • Вы хотите помочь в решении задач или написании работ
  • Возможно примерение функции гаранта на сделку
  • подходит для опытных студентов так и для преподавателей

Комментарии


Оставить комментарий
Если у вас есть какое-либо предложение, идея, благодарность или комментарий, не стесняйтесь писать. Мы очень ценим отзывы и рады услышать ваше мнение.
To reply

Неорганическая химия

Термины: Неорганическая химия