Лекция
Введение
Актуальность технологического прогнозирования
Цели и задачи прогнозирования в научно-технической сфере
технологическое прогнозирование — это процесс предсказания направлений развития технологий и их влияния на общество, экономику и промышленность. Оно изучается в рамках таких дисциплин, как управление инновациями, стратегическое управление, технологический менеджмент, научно-техническая политика и футурология. Цель технологического прогнозирования — определить перспективные направления научно-технического прогресса, оценить риски и возможности, а также сформировать стратегические ориентиры для бизнеса, государства и научных организаций.
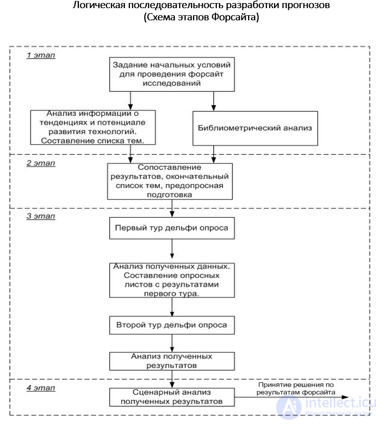
Процесс прогнозирования включает сбор и анализ исходных данных, выбор методов, построение сценариев, оценку рисков и представление результатов. Среди методов технологического прогнозирования выделяются экспертные методы (например, метод Дельфи), экстраполяция трендов, сценарный анализ, SWOT и PEST-анализ, технологические дорожные карты и анализ патентной активности. Эти методы позволяют учитывать как количественные, так и качественные аспекты будущих изменений.
Технологическое прогнозирование играет важную роль в управлении инновациями, помогает принимать обоснованные решения, формировать научно-техническую политику и определять приоритеты в области исследований и разработок. Оно применяется в различных сферах — от прогнозирования развития искусственного интеллекта и биотехнологий до энергетики и транспорта. Однако прогнозирование сталкивается с рядом ограничений: высокая степень неопределенности, быстрое устаревание технологий, а также сложности в учете социальных и этических факторов.
Определение технологического прогнозирования
Виды прогнозов: краткосрочные, среднесрочные, долгосрочные
Отличие от научного и экономического прогнозирования
Технологическое прогнозирование — это процесс предвидения будущих изменений в области технологий, направленный на выявление перспективных направлений научно-технического развития, оценку их влияния на экономику, общество и промышленность. Оно основывается на системном анализе текущих тенденций, научных достижений, патентной активности и экспертных оценках. В зависимости от временного горизонта технологические прогнозы делятся на краткосрочные (до 3 лет), среднесрочные (от 3 до 10 лет) и долгосрочные (свыше 10 лет). Краткосрочные прогнозы ориентированы на оперативное планирование и внедрение уже существующих технологий, среднесрочные — на развитие и адаптацию новых решений, а долгосрочные — на стратегическое видение и формирование научно-технической политики. В отличие от научного прогнозирования, которое фокусируется на развитии фундаментальных знаний и открытий, технологическое прогнозирование направлено на практическое применение этих знаний в виде новых продуктов, процессов и систем. Экономическое прогнозирование, в свою очередь, оценивает макро- и микроэкономические последствия внедрения технологий, включая инвестиции, занятость, производительность и рыночные изменения. Таким образом, технологическое прогнозирование занимает промежуточное положение между научным и экономическим подходами, объединяя элементы обоих для комплексного анализа будущего.
Экспертные методы (метод Дельфи, мозговой штурм)
Экстраполяция трендов
Сценарный анализ
SWOT и PEST-анализ
Технологические дорожные карты (Technology Roadmapping)
Анализ патентной активности
Методы технологического прогнозирования представляют собой совокупность подходов, позволяющих оценить перспективы развития технологий и их влияние на различные сферы. Одним из ключевых направлений являются экспертные методы, к которым относятся метод Дельфи и мозговой штурм. Метод Дельфи основан на анонимном опросе группы экспертов с последующей обработкой и уточнением мнений, что позволяет достичь консенсуса по сложным вопросам. Мозговой штурм, в свою очередь, стимулирует коллективное генерирование идей и сценариев будущего. Экстраполяция трендов предполагает анализ исторических данных и продолжение выявленных тенденций в будущее, что особенно эффективно при стабильных технологических траекториях. Сценарный анализ используется для построения альтернативных вариантов развития событий, учитывая различные факторы неопределенности и возможные риски. SWOT-анализ позволяет оценить сильные и слабые стороны, возможности и угрозы, связанные с конкретной технологией, а PEST-анализ — изучить политические, экономические, социальные и технологические факторы внешней среды. Технологические дорожные карты (Technology Roadmapping) представляют собой стратегический инструмент, визуализирующий этапы развития технологии, ключевые цели и ресурсы, необходимые для их достижения. Анализ патентной активности помогает выявить направления научных исследований, оценить уровень конкуренции и определить технологические ниши, обладающие высоким потенциалом. Все эти методы применяются комплексно, обеспечивая более точное и обоснованное прогнозирование технологического будущего.
Сбор и анализ исходных данных
Выбор методов
Построение сценариев
Оценка рисков и неопределенностей
Представление результатов
Процесс технологического прогнозирования включает несколько последовательных этапов, каждый из которых играет важную роль в формировании обоснованных выводов о будущем развитии технологий. Первый этап — сбор и анализ исходных данных. На этом этапе осуществляется изучение текущих научно-технических тенденций, патентной активности, рыночных показателей, экспертных мнений и других релевантных источников информации. Второй этап — выбор методов прогнозирования. В зависимости от целей, доступных ресурсов и характера объекта прогнозирования выбираются подходящие методики, такие как экспертные оценки, экстраполяция трендов, сценарный анализ или технологические дорожные карты. Третий этап — построение сценариев, в рамках которого формируются возможные варианты развития событий, учитывающие различные факторы влияния, включая технологические, экономические, социальные и политические аспекты. Четвертый этап — оценка рисков и неопределенностей, направленная на выявление потенциальных угроз, ограничений и точек неопределенности, способных повлиять на реализацию прогнозируемых сценариев. Завершающий этап — представление результатов, предполагающее оформление выводов в виде отчетов, презентаций, стратегических документов или дорожных карт, предназначенных для принятия решений в сфере научно-технической политики, инновационного развития и инвестиционного планирования.

Примеры применения
Прогнозирование развития ИИ, биотехнологий, энергетики
Национальные и корпоративные технологические стратегии
Технологическое прогнозирование активно применяется в различных отраслях, где требуется стратегическое планирование и оценка будущих изменений. Одним из ключевых направлений является прогнозирование развития искусственного интеллекта, биотехнологий и энергетики. В области ИИ это позволяет оценить перспективы автоматизации, интеллектуальных систем и их влияние на рынок труда, безопасность и этику. В биотехнологиях прогнозирование помогает определить будущие достижения в медицине, генетике, фармакологии и сельском хозяйстве, а также оценить риски и возможности внедрения новых биопродуктов. В энергетике технологическое прогнозирование используется для анализа перехода к возобновляемым источникам энергии, развития накопителей, повышения энергоэффективности и устойчивости инфраструктуры. Кроме того, прогнозирование лежит в основе национальных и корпоративных технологических стратегий. На государственном уровне оно помогает формировать научно-техническую политику, определять приоритетные направления исследований и инвестиций, а также обеспечивать технологическую безопасность. В корпоративной среде прогнозирование используется для разработки инновационных продуктов, оценки конкурентных преимуществ, планирования НИОКР и адаптации к будущим рыночным условиям. Таким образом, технологическое прогнозирование является важным инструментом как для государственных структур, так и для бизнеса, обеспечивая устойчивое развитие и стратегическую готовность к технологическим изменениям.
Роль технологического прогнозирования в управлении
Поддержка принятия решений
Формирование инновационной политики
Определение приоритетов НИОКР
Технологическое прогнозирование играет важную роль в системе управления, обеспечивая основу для принятия стратегических решений в условиях неопределенности и быстрого научно-технического прогресса. Оно способствует поддержке принятия решений на разных уровнях — от государственных структур до корпоративного управления — позволяя оценить перспективы внедрения новых технологий, определить риски и выбрать наиболее эффективные направления развития. Благодаря прогнозированию формируется инновационная политика, направленная на стимулирование научных исследований, развитие технологических кластеров, поддержку стартапов и создание условий для трансфера технологий. Кроме того, технологическое прогнозирование помогает определить приоритеты в области научно-исследовательских и опытно-конструкторских работ (НИОКР), выделяя наиболее перспективные направления, требующие инвестиций и организационной поддержки. Это позволяет рационально распределять ресурсы, ускорять внедрение передовых решений и обеспечивать конкурентоспособность на национальном и глобальном уровнях.
Точность и достоверность прогнозов
Быстрое устаревание технологий
Этические и социальные аспекты
Технологическое прогнозирование, несмотря на свою значимость, сталкивается с рядом проблем и ограничений, которые необходимо учитывать при его применении. Одной из ключевых трудностей является точность и достоверность прогнозов. Будущее технологий зависит от множества факторов, включая научные открытия, рыночные изменения, политические решения и социальные предпочтения, что делает любые прогнозы подверженными высокой степени неопределенности. Даже при использовании сложных моделей и экспертных оценок невозможно гарантировать абсолютную точность предсказаний. Дополнительную сложность создает быстрое устаревание технологий: инновации развиваются стремительно, и то, что сегодня кажется перспективным, завтра может быть заменено более эффективным решением или потерять актуальность. Это требует постоянного обновления прогнозов и гибкости в стратегическом планировании. Кроме того, технологическое прогнозирование затрагивает важные этические и социальные аспекты. Внедрение новых технологий может вызывать общественные споры, влиять на занятость, усиливать социальное неравенство или затрагивать вопросы конфиденциальности и безопасности. Поэтому при разработке прогнозов необходимо учитывать не только технические и экономические параметры, но и возможные последствия для общества, культуры и прав человека.
Значение технологического прогнозирования для устойчивого развития
Перспективы развития методов прогнозирования
В условиях стремительного научно-технического прогресса технологическое прогнозирование приобретает особое значение для обеспечения устойчивого развития. Оно позволяет заранее выявлять перспективные направления технологических изменений, оценивать их влияние на экономику, общество и окружающую среду, а также формировать стратегические решения, направленные на сбалансированное и безопасное внедрение инноваций. Благодаря прогнозированию можно минимизировать риски, связанные с технологической неопределенностью, и обеспечить адаптацию к будущим вызовам, сохраняя при этом экологическую, социальную и экономическую устойчивость. Перспективы развития методов технологического прогнозирования связаны с интеграцией искусственного интеллекта, больших данных, машинного обучения и цифровых платформ, что позволяет повысить точность, гибкость и адаптивность прогнозов. Также возрастает роль междисциплинарного подхода, включающего не только технические, но и гуманитарные, социальные и этические аспекты. В будущем технологическое прогнозирование станет неотъемлемой частью стратегического управления, способствуя формированию инновационной культуры и устойчивого технологического развития на глобальном уровне.
Ответы на вопросы для самопроверки пишите в комментариях, мы проверим, или же задавайте свой вопрос по данной теме.
Комментарии
Оставить комментарий
Системный анализ (системная философия, теория систем)
Термины: Системный анализ (системная философия, теория систем)