Лекция
Привет, Вы узнаете о том , что такое Классификация показателей качества ПО:, Разберем основные их виды и особенности использования. Еще будет много подробных примеров и описаний. Для того чтобы лучше понимать что такое Классификация показателей качества ПО: , настоятельно рекомендую прочитать все из категории Качество и тестирование программного обеспечения. Quality Assurance..
По кол-во характеризуемых свойств:
Единичные
Комплексные
Показателькачества продукции - это количественная характеристика одного или нескольких свойств продукции, составляющих ее качество, рассматриваемая применительно к определенным условиям ее создания, эксплуатации или потребления.
Каждый вид продукции характеризует своя номенклатура показателей качества, которая зависит от назначения продукции. У продукции многоцелевого назначения эта номенклатура может быть очень многочисленной. Показатель качества продукции может выражаться в различных единицах (например, км/ч, часах на отказ), баллах, а также может быть безразмерным.
Показатель качества продукции, характеризующий одно из ее свойств, называется единичным показателем качества продукции. Примерами единичных показателей могут быть мощность (двигателя), калорийность (топлива), наработка на отказ.
Комплексным называется показатель качества продукции, характеризующий несколько ее свойств.
Зависимости от места применения применяются различные методы оценки качества ПО
Если оцениваемая продукция имеет все относительные показатели качества Ki>=1, то ее уровень качества выше или равен базовому; если все Ki<1, то ниже.
Возможны случаи, когда часть значений Ki>=1, часть Ki<1. При этом необходимо все показатели разделить на две группы. В первую группу должны войти показатели, отражающие наиболее существенные свойства продукции, во вторую - второстепенные показатели.
Если относительные показатели первой группы и большая часть относительных показателей второй группы больше или равны единице, то уровень качества оцениваемой продукции не ниже базового.
Если для первой группы часть значений Ki><1, то необходимо провести комплексную оценку уровня качества.
Ограничение для применения дифференциального метода оценки уровня качества состоит в трудности принятия решения по значениям многих единичных показателей качества.
Следующая группа показателей, зависящая от стадии определения значений
Прогнозируемые показатели качества оцениваются на перспективу. С этой целью определяют возможные значения показателей качества на будущий период времени на основании анализа данных о качестве, т. е. с определенной долей вероятности оценивают требования потенциальных потребителей и предполагаемые значения показателей качества товаров, способных эти требования удовлетворить.
Проектные показатели качества закладываются на стадии непосредственной разработки изделия. Здесь определяется класс и тип изделия, условия эксплуатации. Оцениваются текущие требования потребителей, выбираются лучшие базовые образцы. Выявляется оптимальное значение показателей качества.
Производственные показатели оцениваются на всех технологических стадиях производства изделия.
Эксплуатационные показатели качества могут оцениваться в процессе непосредственной эксплуатации изделия. Например, уровень вибрации при работе холодильника. Эти показатели часто используются при оценке качества, при определении суммарного полезного эффекта от эксплуатации и т. п.
. Вероятность безотказной работы P(tз) – это вероятность того, что в пределах заданной наработки отказ системы не возникает.
2. Вероятность отказа – вероятность того, что в пределах заданной наработки отказ системы возникает.
Это показатель, обратный предыдущему.
Q(t з) =1 – P(t з) (2.1)
где t з – заданная наработка, ч.;
Q(t з) – вероятность отказа.
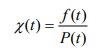
3. Интенсивность отказов системы – это условная плотность вероятности возникновения отказа ПИ в определенный момент времени при условии, что до этого времени отказ не возник.

где f(t) – плотность вероятности отказа в момент времени t.

Существует следующая связь между интенсивностью отказов системы и вероятностью безотказной работы

В частном случае, при

Если в процессе тестирования фиксируется число отказов за определѐнный временной интервал, то интенсивность отказов системы есть число отказов в единицу времени.
Среднее время восстановления T - математическое ожидание времени восстановления - t; времени, затраченного на обнаружение и локализацию отказа - t ; времени устранения отказа - t ; времени пропускной проверки работоспособности - t : t = t + t + t , где t - время восстановления после i-го отказа. Об этом говорит сайт https://intellect.icu . n T = i/nt , i=1 где n - количество отказов. Для этого показателя термин "время" означает время, затраченное специалистом по тестированию на перечисленные виды работ. 6. Коэффициент готовности K - вероятность того, что ПИ ожидается в работоспособном состоянии в произвольный момент времени его использования по назначению: K = T / (T + T ). Необходимо стремиться повышать уровень надежности ПИ, но достижение 100%-ной надежности лежит за пределами возможного. Количественные показатели надежности могут использоваться для оценки достигнутого уровня технологии программирования, для выбора метода проектирования будущего программного средства. Основным средством определения количественных показателей надежности являются модели надежности, под которыми понимают математическую модель, построенную для оценки зависимости надежности от заранее известных или оцененных в ходе создания программных средств параметров. 7. Все приведенные показатели надежности ПО характеризуют наличие ошибок программы (производственных дефектов), но ни один из них не характеризует характер этих ошибок и возможные их последствия. Поэтому предлагается ввести новый показатель надежности ПО – средняя тяжесть ошибок (СТО): B=1/Q СУММ(bi*pi*zi) ,(2.8) где Q – вероятность сбоя ПО; СУММ – оператор суммирования по переменной i; bi – функция принадлежности тяжести последствий ошибки, возникшей при i-ом наборе входных данных, к максимально тяжелым последствиям; pi – вероятность ввода i-го набора входных данных при эксплуатации ПО; zi – дихотомическая переменная, равная 1, если при i-ом наборе входных данных был зафиксирован сбой, и 0 в противном случае; m – общее число наборов входных данных. Значение показателя надежности СТО лежит на интервале [0;1]. Чем ближе значение СТО к единице, тем тяжелее последствия ошибок ПО, и тем менее надежна программа. Близость СТО к нулю показывает незначительность последствий ошибок программы. Введение нового показателя надежности ПО позволило различать по надежности программные продукты, вероятности сбоя которых имеют один и тот же порядок. К тому же, говоря о надежности ПО, пользователь желает получить не столько безошибочное ПО, сколько безопасное. А именно безопасность ПО характеризует СТО. Значение этого показателя субъективно и может быть различным для одного и того же программного продукта в зависимости от области его применения. Это объясняется тем, что при использовании конкретного ПО, например, для выполнения студенческих расчетов и для выполнения конструкторских расчетов в космической промышленности последствия ошибок программы – несопоставимы. В ряде случаев, если к ПО предъявляются жесткие требования, лучше оценивать максимальную тяжесть ошибок ПО. Таким образом, оценивая вероятность сбоя ПО и СТО ПО, получаем многостороннюю оценку надежности ПО
2.2. Методы оценки надежности технических средств
Расчетные методы оценки надежности
Расчет надежности на основе моделей математической логики. Расчет надежности технических средств на основе моделей математической логики осуществляется в следующей последовательности.
Словесная формулировка условий работоспособности. Пусть дана структура некоторого тракта передачи данных, состоящего из элементов a,b,c,d,e (рис 2.2). Словесная формулировка минимально необходимых условий работоспособности тракта выглядит следующим образом: «Тракт работоспособен, если работоспособны каналы(элементы): 1) a иd, или 2) a, cи е, или 3)b и e, или 4)b, c и d».

Запись логической функции работоспособности Fл. При записи логической функции работоспособности используются основные логические операции математической логики (рис. 2.3): дизъюнкция (ИЛИ), конъюнкция (И); отрицание(НЕ).
Таким образом, логическая функция работоспособности для рассматриваемого примера (см. рис. 2.2.) может быть представлена в виде

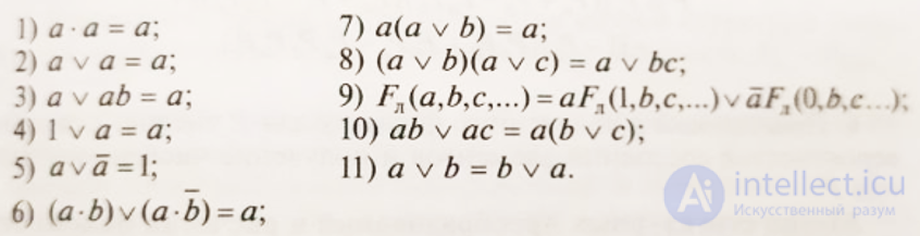
Преобразование логической функции работоспособности Fл путем ее минимизации и исключения повторяющихся членов. Для этого используют следующие формулы математической логики:

Используя 9-ю формулу, разложим исходную логическую функцию работоспособности Fлв целях исключения повторяющихся членов и получим:

Упростим выражение в первых фигурных скобках, используя 10-ю формулу (дистрибутивность) и 11-ю формулу(коммутативность):

Окончательная логическая функция работоспособности принимает вид:

Замена в Fл логических операндов на арифметические (получение Fп). Замена осуществляется по следующим правилам
Используя эти правила, преобразуем Fл в Fп и получим функцию работоспособности в виде

Замена в Fл простых событий их вероятностями. В выражения Fл простые события(высказывания) a, b, c, d, eзаменяют на их вероятности Pa, Pb, Pc, Pd, Pe, и получают формулы для расчета вероятности работоспособного состояния тракта передачи данных:

Подстановка в полученную формулу для Р числовых значений вероятностей состояний элементов и получение численного значения Р.
Метод структурных преобразований в расчетах надежностью
Сложность и трудность расчетов надежности вызвана сложностью самих объектов исследования. Поэтому всегда, прежде чем начинать расчет надежности системы, необходимо проанализировать возможность преобразования рассматриваемой сложной структуры, т.е. сделать ее более простой и удобной для проведения расчетов. Наиболее удобными являются структуры, состоящие из последовательно или параллельно соединенных элементов.
Одним из методов структурного анализа, в рамках которого осуществляется декомпозиции сложных структур на более простые, является метод декомпозиции сложной структуры по ключевому элементу.
Суть метода заключается в замене сложной структуры двумя более простыми. При этом сумма вероятностей работоспособных состояний этих простых структур должна быть равна вероятности работоспособного состояния исходной сложной структуры. В основу метода положена или формула разложения логического уравнения работоспособности, или вытекающая из нее формула вероятности полного события.
Рассмотрим декомпозицию структуры (см. рис. 2.2)на две более простые последовательно-параллельных структуры. В качестве ключевого элемента выбирается элемент с. Пусть элемент с находится в работоспособном состоянии. В этом случае вместо элемента с может быть поставлена жесткая связь и исходная структура может быть преобразована в более простую структуру 1, в которой элемент с подключен последовательно (рис. 2.4.)
Если предположить, что элемент с находится в неработоспособном состоянии, то в структуре его положение следует обозначить обрывом цепи и исходная структура может быть преобразована в структуру 2 (рис. 2.5.)
Общее правило декомпозиции сложной структуры по ключевому элементу:
1) выбрать ключевой элемент (с наибольшим числом связей) – х;
2) в месте элемента х сделать замыкание цепи – это первая простая структура;
3) в месте расположения х сделать, обрыв цепи –это вторая простая структура;
4) вероятность безотказного состояния первой структуры умножить на вероятность безотказного состояния элемента х и получить Р1 = Р1сРх;
5) вероятность безотказного состояния второй структуры умножить на вероятность отказа элемента х, т.е. получить Р2 = Р2с(1 – Рх);
6) суммировать вероятности Р1 и Р2 и получить вероятность работоспособного состояния исходной структуры.
Оценка надежности с учетом надежности программного обеспечения.
Методы расчета надежности ИС с учетом надежности ПО пока не регламентируются нормативно-техническими документами. Основная направленность и последовательность расчета программной надежности в принципе совпадает с методами расчета надежности ТС. На этапах разработки и отладки программ производится оценка их на соответствие требованием ТЗ. По результатам оцениваются характеристики надежности программ, которые должны отражать:
Интенсивность отказов программы (обнаруженную и прогнозируемую);
Вероятность безотказной работы реализации ПО (обнаруженную и прогнозируемую);
Прогнозируемое среднее время восстановления ПО после отказов.
Расчет надежности производится либо ориентировочным методом, либо с учетом влияния на надежность ИС надежности ПО, определенного на этапе совместных испытаний на надежность комплекса ТС и ПО.
Ориентировочный метод. В оцениваемую структуру включается фиктивный блок – программное изделие с характеристиками надежности, полученными либо из паспорта программного изделия, либо из результатов его испытаний. Затем, используя рассмотренные методы, проводится расчет надежности всей структуры. Даже такой ориентировочный расчет позволяет дать сравнительную характеристику влияния ТС и ПО на надежность ИС. Полагаем, что программные ошибки подчиняются экспоненциальному распределению. Исходные данные - 
Метод, учитывающий влияние на надежность системы надежности ПО, определенной на этапе совместных испытаний комплекса ТС и программ. Расчет производится по обычным правилам, т.е. с использованием логических моделей, структурных схем, графов событий. В качестве показателей надежности системы используют программно-аппаратные показатели надежности, т.е. показатели надежности программно-управляемых частей ИС под управлением реальной программы. Естественно, что при этом получаются различные результаты определения значений показателей надежности ИС для различных функций, реализуемых ею. Фактически ведется расчет функциональной надежности, так как исследуется надежность выполнения каждой функции.
Исследование, описанное в статье про Классификация показателей качества ПО:, подчеркивает ее значимость в современном мире. Надеюсь, что теперь ты понял что такое Классификация показателей качества ПО: и для чего все это нужно, а если не понял, или есть замечания, то не стесняйся, пиши или спрашивай в комментариях, с удовольствием отвечу. Для того чтобы глубже понять настоятельно рекомендую изучить всю информацию из категории Качество и тестирование программного обеспечения. Quality Assurance.
Комментарии
Оставить комментарий
Качество и тестирование программного обеспечения. Quality Assurance.
Термины: Качество и тестирование программного обеспечения. Quality Assurance.