Лекция
Мощность и другие характеристики питания приемника.
Если источники питания имеют ограниченную мощность, то задается максимально допустимая мощность питания приемника.
мощность приемного устройства — один из фундаментальных параметров в радиотехнике, телекоммуникациях и системах передачи данных. Она определяет способность устройства воспринимать и обрабатывать электромагнитный сигнал, поступающий от передатчика. От этого параметра зависит надежность связи, качество передачи информации и устойчивость к помехам.
Мощность приемного устройства — это количество энергии, получаемой антенной и передаваемой на вход приемника за единицу времени. Она измеряется в ваттах (Вт) или, чаще, в децибелах относительно милливатта (дБм).
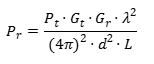
Формально, мощность на входе приемника можно выразить как:

Pr — мощность на входе приемника,
Pt— мощность передатчика,
Gt, Gr — коэффициенты усиления антенн передатчика и приемника,
λ— длина волны сигнала,
d — расстояние между антеннами,
L — потери в среде распространения.
Эта формула основана без учета потерь L, которые добавляются в более практических моделях основана на формуле передачи Фрииса.
формула передачи фрииса — одно из уравнений Харальда Фрииса (Harald Friis), используемого в телекоммуникациях. Определяет мощность, получаемую одной антенной при идеальных условиях от другой антенны, находящейся на определенном расстоянии и передающей известную мощность.
Приведена для идеальных условий (отсутствуют препятствия, отражения, несколько возможных траекторий передачи т. д.). Предполагается, что антенны сонаправлены по поляризации.
, где :
В космических телекоммуникациях, когда излучение направлено в космос, формула должна корректироваться вследствие атмосферного затухания и дифракций от случайных препятствий. Таким образом, простую формулу уравнения следует рассматривать как «самый лучший вариант». Связь прервется, если мощность принимаемого сигнала упадет ниже уровня, необходимого для корректной демодуляции (называемого порогом чувствительности).
Если вдаваться в детали , при анализе приемного устройства следует различать две формы мощности:
Электрическая мощность — характеризует интенсивность поступления энергии из электрической цепи к приемнику. Это та мощность, которую можно измерить на входных клеммах устройства, и она определяется как произведение напряжения на ток:
Неэлектрическая мощность — отражает интенсивность получения полезной энергии, преобразованной приемником в другую форму: световую, тепловую, механическую и т.д. Например, в лампе это световой поток, в динамике — акустическое давление, в нагревателе — тепловая энергия.
Для оценки эффективности преобразования энергии вводится коэффициент полезного действия (КПД):
где:
η — КПД приемника,
Pнеэл — полезная (неэлектрическая) мощность,
Pэл — потребляемая электрическая мощность.
КПД показывает, какая доля поступившей электрической энергии была преобразована в полезную форму, а какая — рассеяна в виде тепла или потерь.
Пример: Фотодиод с КПД 70% преобразует 70% поступающей электромагнитной энергии в ток, а остальное — теряется в другие виды энергии, например в тепло.
Коэффициент полезного действия (КПД) приемника — это отношение полезной преобразованной энергии к принятой электрической или электромагнитной энергии:
Где:
Pпринятая — мощность, полученная от электромагнитного поля или электрической цепи.
Pполезная — мощность, преобразованная в целевую форму (свет, ток, тепло, сигнал и т.д.).
| Устройство | Тип энергии на входе | Полезная энергия | КПД (ориентировочно) | Комментарий |
|---|---|---|---|---|
| Фотоэлектрический элемент (солнечная батарея) | Свет (электромагнитное излучение) | Электрическая энергия | 15–25% | КПД зависит от материала (кремний, перовскит и др.) и условий освещения |
| Фотодиод | Свет | Электрический ток (фотоэлектрический эффект) | 70–90% (в узком диапазоне) | КПД зависит от длины волны и конструкции; важна квантовая эффективность |
| Фототранзистор | Свет | Усиленный электрический сигнал | 50–80% | КПД включает усиление, но также зависит от утечек и паразитных токов |
| RFID-метка (пассивная) | Радиоволны | Электрическая энергия для активации схемы | 30–60% | КПД ограничен из-за слабого поля и необходимости работы без батареи |
| NFC-устройство (пассивное) | Радиоволны | Электрическая энергия для обмена данными | 40–70% | КПД зависит от расстояния, ориентации антенн и частоты |
| Приемная антенна радиоволн | Радиоволны | Электрический сигнал (напряжение/ток) | 80–95% | КПД антенны — это эффективность преобразования поля в сигнал, зависит от согласования и конструкции |
Фотоэлементы: КПД зависит от спектра света, угла падения, температуры.
Фотодиоды и фототранзисторы: важна квантовая эффективность — сколько фотонов вызывает генерацию электронов.
RFID/NFC: КПД включает потери на индуктивную связь, паразитные сопротивления, согласование антенн.
Антенны: КПД антенны — это не просто отношение мощностей, а эффективность приема в заданной частоте и направлении. Включает потери на отражение, сопротивление, излучение.
Показатель уровня принимаемого сигнала, RSSI (англ. received signal strength indicator) (телекоммуникации) — полная мощность принимаемого приемником сигнала. Измеряется приемником по логарифмической шкале в дБм (dBm, децибел относительно 1 милливатта).
Измерение уровня сигнала сотовой сети на телефоне зачастую требуется для точной диагностики проблем, из-за которых наблюдается прерывание звонков, "выпадание" телефона из сети. Как правило (в частности, в сотовых телефонах и других GSM-устройствах), мощность сигнала измеряется после преобразования его частоты из основной в промежуточную, но до усиления. В устройствах, не преобразующих частоту сигнал из основной в промежуточную, мощность сигнала измеряется на основной частоте.
Значение RSSI плохо коррелирует с качеством сигнала, но может использоваться для его приблизительной оценки. Более точную оценку можно получить с помощью параметра индикатор качества сигнала[англ.], LQI.

Применения RSSI
Для устройств, работающих по стандартам Wi-Fi и Bluetooth 4.0, RSSI является единственным параметром, позволяющим измерить расстояние от устройства до базовой станции или маяка. Уравнение для вычисления расстояния (за пределами ближней зоны передатчика) имеет следующий вид:
,
где:
Данное уравнение следует из формулы передачи Фрииса для распространения радиосигнала в свободном пространстве.
CINR (англ. Carrier to Interference + Noise Ratio) — отношение уровня сигнала к уровню шума, существует синоним SINR (англ. Signal Interference + Noise Ratio). Используется в телекоммуникациях для определения качества сигнала, и, как следствие, необходимости использования, если качество сигнала выше определенной для стандарта (например: GSM, CDMA, WiMAX) нормы.
| 0 dB | + | - |
|---|---|---|
| сигнал и шум равны | сигнал больше | шум больше |
Индикатор качества связи (LQI) — это кумулятивное значение, используемое в многоадресных сетях для оценки стоимости соединения. Значения LQI могут изменяться на каждом этапе по мере распространения сообщения по матрице ячеек. Сообщения, проходящие через ячейку разными путями, могут иметь разные значения LQI, и для последующих сообщений выбирается путь с наилучшим LQI. Исходящие значения LQI могут быть рассчитаны на основе когерентных (демодулированных) значений коэффициента ошибок пакетов (PER), RSSI и входящих значений LQI. Точный метод зависит от используемого сетевого стека.
LQI — более комплексный показатель, используемый для оценки общего качества канала связи между двумя устройствами . В отличие от RSSI, который измеряет только уровень сигнала, LQI также учитывает такие факторы, как отношение сигнал/шум (SNR), уровень ошибок и качество приема пакетов, что делает его более точным индикатором надежности канала.
Ключевые характеристики LQI :
Ключевые различия между RSSI и LQI
| Критерий | RSSI | LQI |
|---|---|---|
| Определение | Измеряет уровень принимаемого радиосигнала (чистую мощность). | Измеряет качество связи с учетом ошибок, шума и целостности сигнала. |
| Объем | Учитывается только сила сигнала. | Учитывает мощность сигнала, отношение сигнал/шум (SNR) и частоту ошибок. |
| Диапазон | Обычно измеряется в дБм (например, от -30 дБм до -100 дБм). | Обычно измеряется по шкале от 0 до 255. |
| Использование | В основном используется для оценки расстояния и силы основного сигнала. | Используется для оценки общего качества и надежности ссылки. |
| Качество связи | Не свидетельствует о надежности или качестве соединения, выходящем за рамки прочности. |
Чувствительность: Чем выше чувствительность приемника, тем меньшую мощность он способен обнаружить. Это особенно важно в спутниковой связи, радиолокации и мобильных сетях.
Качество сигнала: Недостаточная мощность приводит к снижению отношения сигнал/шум (SNR), что ухудшает декодирование информации.
Дальность связи: Приемник с высокой чувствительностью может работать на больших расстояниях от передатчика.
Энергоэффективность: В системах с ограниченным энергопотреблением (например, IoT-устройства) важно минимизировать мощность, необходимую для надежной связи.
Минимально допустимая мощность: Обычно указывается в спецификациях приемника. Например, -90 дБм означает, что устройство способно принимать сигнал мощностью 1 нВт.
Усилители: Для компенсации слабого сигнала применяются малошумящие усилители (LNA).
Фильтрация: Приемник должен эффективно фильтровать помехи, чтобы не терять полезный сигнал.
Адаптация к среде: В условиях городской застройки или в помещении мощность сигнала может значительно снижаться из-за отражений и поглощения.
Wi-Fi роутеры: Приемная мощность влияет на стабильность соединения в разных комнатах.
GPS-навигаторы: Работают с сигналами мощностью порядка -130 дБм, благодаря высокой чувствительности.
Мобильные телефоны: Приемная мощность определяет качество связи в зонах с плохим покрытием.
Мощность приемного устройства — это не просто технический параметр, а основа надежной и эффективной связи. Понимание ее роли позволяет инженерам создавать более устойчивые, чувствительные и энергоэффективные системы. В эпоху беспроводных технологий грамотное управление мощностью приемника становится все более актуальным.
Комментарии
Оставить комментарий
Устройства приема и обработки радиосигналов, Передача, прием и обработка сигналов
Термины: Устройства приема и обработки радиосигналов, Передача, прием и обработка сигналов