Лекция
Привет, Вы узнаете о том , что такое ЛЕКЦИЯ 5 ИСТЕЧЕНИЕ ЖИДКОСТИ ИЗ ОТВЕРСТИЙ, НАСАДКОВ И ИЗ-ПОД ЗАТВОРОВ, Разберем основные их виды и особенности использования. Еще будет много подробных примеров и описаний. Для того чтобы лучше понимать что такое ЛЕКЦИЯ 5 ИСТЕЧЕНИЕ ЖИДКОСТИ ИЗ ОТВЕРСТИЙ, НАСАДКОВ И ИЗ-ПОД ЗАТВОРОВ , настоятельно рекомендую прочитать все из категории Гидромеханика, Гидравлика (Гидростатика, Гидродинамика).
Рассмотрим различные случаи истечения жидкости из резервуаров,
баков, котлов через отверстия и насадки (коротки трубки различной
формы) в атмосферу или пространство, заполненное газом или той же
жидкость. В процессе такого истечения запас потенциальной энергии,
которым обладает жидкость, находящаяся в резервуаре, превращается в
кинетическую энергию свободной струи.
Основным вопросом, который интересует в данном случае, является
определение скорости истечения и расхода жидкости для различных форм
отверстий и насадков.
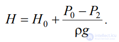
Рассмотрим большой резервуар с жидкостью под давлением Р0,
имеющий малое круглое отверстие в стенке на достаточно большой
глубине Н0 от свободной поверхности (рис.5.1). Жидкость вытекает в
воздушное пространство с давлением Р1. Пусть отверстие имеет форму,
показанную на рис.5.2, а, т.е.
выполнено в виде сверления в тонкой
стенке без обработки входной кромки
или имеет форму, показанную на
рис.5.2, б, т.е. выполнено в толстой
стенке, но с заострением входной
кромки с внешней стороны. Струя,
отрываясь от кромки отверстия,
несколько сжимается (рис.5.2, а).
Такое сжатие обусловлено движением
жидкости от различных направлений,
в том числе и от радиального
движения по стенке, к осевому
движению в струе.
В данном случае, когда боковые
стенки и свободная поверхность не
влияют на приток жидкости к отверстию, наблюдается совершенное
сжатие струи, т.е. наибольшее сжатие в отличие от несовершенного.

Рис. 5.2. Истечение через круглое отверстие
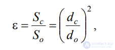
Степень сжатия оценивается коэффициентом сжатия.
, (5.1)
где Sс и Sо – площади поперечного сечения струи и отверстия
соответственно; dс и dо – диаметры струи и отверстия соответственно.
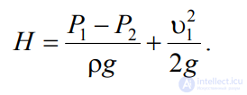
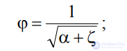
Скорость истечения жидкости через отверстие такое отверстие
, (5.2)
где Н – напор жидкости, определяется как

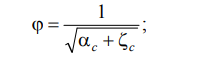
– коэффициент скорости
; (5.3)
– коэффициент Кориолиса;
– коэффициент сопротивления отверстия.
Расход жидкости определяется как произведение действительной
скорости истечения на фактическую площадь сечения:
. (5.4)
Произведение и принято обозначать буквой и называть
коэффициентом расхода, т.е. .
В итоге получаем расход
(5.5)
где Р – расчетная разность давлений, под действием которой
происходит истечение.
При помощи выражения (5.5) решается основная задача –
определяется расход.
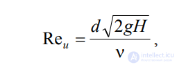
Значение коэффициента сжатия , сопротивления , скорости и
расхода для круглого отверстия можно определить по эмпирически
построенным зависимостям. На рис.5.3 показаны зависимости
коэффициентов , и от числа Рейнольдса, подсчитанного для
идеальной скорости
где - кинематическая вязкость.

Рис. 5.3. Зависимость , и от числа Reи

Рис. 5.4. Инверсия струй
При истечении струи в атмосферу из малого отверстия в тонкой
стенке происходит изменение формы струи по ее длине, называемое
инверсией струи (рис.5.4). Обуславливается это явление в основном
действием сил поверхностного натяжения на вытекающие криволинейные
струйки и различными условиями сжатия по периметру отверстия.
Инверсия больше всего проявляется при истечении из некруглых
отверстий.

Рис. 5.5. Схема несовершенного сжатия струи
Несовершенное сжатие наблюдается в том случае, когда на
истечение жидкости через отверстие и на формирование струи оказывает
влияние близость боковых стенок резервуара (рис.5.5).
Так как боковые стенки
частично направляют движение
жидкости при подходе к
отверстию, то струя по выходе из
отверстия сжимается в меньшей
степени, чем из резервуара
неограниченных размеров, как это
было описано в п.5.1.
При истечении жидкостей из
цилиндрического резервуара
круглого сечения через круглое
отверстие, расположенное в
центре торцевой стенки, при больших числах Re коэффициент сжатия для
идеальной жидкости можно найти по формуле, представленной
Н.Е. Жуковским:
(5.6)
где n – отношение площади отверстия Sо к площади поперечного сечения
резервуара S1

Расход жидкости при несовершенном сжатии
, (5.7)
где напор Н нужно находить с учетом скоростного напора в резервуаре
. Об этом говорит сайт https://intellect.icu . (5.8)
Часто приходится иметь дело с истечением жидкости не в
атмосферу, а в пространство, заполненное этой же жидкостью (рис.5.6).

Рис. 5.6. Истечение по уровень
такой случай называется истечением под уровень, или истечением через
затопленное отверстие.
В этом случае вся
кинетическая энергия струи
теряется на вихреобразование, как
при внезапном расширении.
Скорость истечения в сжатом
сечении струи
, (5.9)
где – коэффициент скорости,
определяемый по формуле (5.3);
Н – расчетный напор,
. (5.10)
Расход жидкости равен
. (5.11)
Таким образом, имеем те же расчетные формулы, что и при
истечении в воздух (газ), только расчетный напор Н в данном случае
представляет собой разность гидростатических напоров по обе стенки, т.е.
скорость и расход жидкости в данном случае не зависят от высот
расположения отверстия.
Коэффициенты сжатия и расхода при истечении под уровень можно
принимать те же, что и при истечении в воздушную среду.
Внешним цилиндрическим насадком называется короткая трубка
длиной, равной нескольким диаметрам без закругления входной кромки
(рис. 5.7). На практике такой насадок часто получается в тех случаях, когда
выполняют сверление в толстой стенке и не обрабатывают входную
кромку. Истечение через такой насадок в газовую среду может
происходить в двух режимах.
Первый режим - безотрывный режим. При истечении струя, после
входа в насадок сжимается примерно так же, как и при истечении через

Рис. 5.7. Истечение через насадок

Рис. 5.8. Второй режим истечения через насадок
отверстие в тонкой стенке. Затем струя постепенно расширяется до
размеров отверстия из насадка выходит полным сечением (рис.5.7).
Коэффициент расхода , зависящий от относительной длины насадка
/d и числа Рейнольдса, определяется по эмпирической формуле:
. (5.12)
Так как на выходе из насадка диаметр
струи равен диаметру отверстия, то
коэффициент сжатия = 1 и, следовательно,
= , а коэффициент сопротивления = 0,5.
Если составить уравнение Бернулли для
сжатого сечения 1-1 и сечения за насадком 2-2
и преобразовать его, то можно получить
падение давления внутри насадка
. (5.13)
При некотором критическом напоре Нкр абсолютное давление внутри
насадка (сечение 1-1) становится равным нулю (P1 = 0), и поэтому
. (5.14)
Следовательно, при Н > Нкр давление P1 должно было бы стать
отрицательным, но так как в жидкостях отрицательных давлений не
бывает, то первый режим движения становится невозможным. Поэтому
при Н Нкр происходит изменение режима
истечения, переход от первого режима ко
второму (рис.5.8).
Второй режим, режим с отрывом,
характеризуется тем, что струя после сжатия уже
не расширяется, а сохраняет цилиндрическую
форму и перемещается внутри насадка, не
соприкасаясь с его стенками. Истечение
становится точно таким же, как и из отверстия в
тонкой стенке, с теми же значениями
коэффициентов. Следовательно, при переходе от
первого режима ко второму скорость возрастает,
а расход уменьшается благодаря сжатию струи.
При истечении через цилиндрический насадок под уровень первый
режим истечения не будет отличаться от описанного выше. Но при Н > Нкр
перехода ко второму режиму не происходит, а начинается кавитационный
режим.
Таким образом, внешний цилиндрический насадок имеет
существенные недостатки: на первом режиме – большое сопротивление и
недостаточно высокий коэффициент расхода, а на втором – очень низкий
коэффициент расхода. Недостатком также является возможность
кавитации при истечении под уровень.
Внешний цилиндрический насадок может быть значительно улучшен
путем закругления входной кромки или устройства конического входа. На
рис.5.9 даны различные типы насадков и указаны значения
соответствующих коэффициентов.
Рис. 5.9. Истечение жидкости через насадки
а – расширяющиеся конические; б – сужающиеся конические;
в – коноидальные; г – внутренние цилиндрические
Конически сходящиеся и коноидальные насадки применяют там, где
необходимо получить хорошую компактную струю сравнительно большой
длины при малых потерях энергии (в напорных брандспойтах,
гидромониторах и т.д.). Конически сходящиеся насадки используют для
увеличения расхода истечения при малых выходных скоростях.
Рассмотрим случай опорожнения открытого в атмосферу сосуда при
постоянно уменьшающемся напоре, при котором течение является
неустановившемся (рис.5.10).
Однако если напор, а следовательно, и скорость истечения
изменяются медленно, то движение в каждый момент времени можно
рассматривать как установившееся, и для решения задачи применить
уравнение Бернулли.
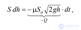
Обозначим переменную высоту уровня жидкости в сосуде за h,
площадь сечения резервуара на этом уровне S, площадь отверстия Sо, и

Рис. 5.10. Схема опорожнения резервуара
взяв бесконечно малый отрезок времени dt, можно записать следующее
уравнение объемов:

или
где dh – изменение уровня жидкости за время
dt.
Отсюда время полного опорожнения
сосуда высотой Н
(5.15)
Если будет известен закон изменения площади S по высоте h, то
интеграл (5.15) можно подсчитать. Для призматического сосуда S = const
(рис.5.11), следовательно, время его полного опорожнения
. (5.16)
Из выражения (5.16) следует, что время полного опорожнения
призматического сосуда в два раза больше времени истечения того же
объема жидкости при постоянном напоре, равном первоначальному.
Рис. 5.11. Опорожнение призматического резервуара
Рис. 5.12. Опорожнение непризматического резервуара
Для определения времени истечения жидкости из горизонтального
цилиндрического сосуда (цистерны) (рис. 5.12) выразим зависимость
переменной площади S от h:

где - длина цистерны; D – диаметр цистерны.
Тогда время полного опорожнения такой цистерны, т.е. время
изменения напора от h1 = D до h2 = 0, получится равным
. (5.17)
Во многих водозаборных и водопропускных гидротехнических
сооружениях расходы воды проходят через отверстия, перекрываемые
затворами. Затворы поднимают на определенную высоту над дном и
пропускают через отверстия необходимые расходы. Чаще всего на
гидромелиоративных сооружениях устраивают отверстия прямоугольного
сечения, истечение из которых и рассмотрим.
Отверстия могут быть незатопленными (истечение свободное) и
затопленными, когда уровень воды за затвором влияет на истечение.
Если отверстие незатопленное, то вытекающая из-под затвора струя
находится под атмосферным давлением (рис. 5.13). При истечении через
затопленное отверстие струя за затвором находится под некоторым слоем
воды (рис. 5.14).
Рис. 5.13. Истечение из-под затвора через незатопленное отверстие
Когда затвор приподнят над дном, вытекающая из-под него струя
испытывает сжатие в вертикальной плоскости. На расстоянии, примерно
равном высоте отверстия а (высоте поднятия затвора), наблюдается
наиболее сжатое сечение. Глубина в сжатом сечении hc связана с высотой
отверстия а следующей зависимостью:
(5.18)
где - коэффициент вертикального сжатия струи.
Коэффициент вертикального сжатия зависит от отношения
высоты отверстия а к напору (глубине воды перед затвором) Н. Для
ориентировочных расчетов можно принимать = 0,64.
Если составить уравнение Бернулли для сечений, проведенных перед
затвором и в сжатом сечении, после преобразований получим:
, (5.19)
где - коэффициент скорости,
Н0 – напор с учетом скорости подхода,
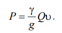
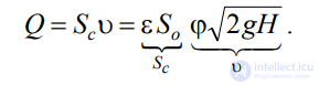
Тогда расход при истечении из-под затвора при незатопленном
отверстии определится по формуле:
, (5.20)
где S – площадь отверстия, S = ab.
Рис. 5.14. Истечение из-под затвора при затопленном отверстии
При истечении через затопленное отверстие (рис. 5.14) расход
определится по формуле:
, (5.21)
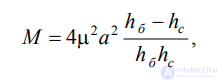
где hz – глубина в том сечении, где наблюдается максимальное сжатие
истекающей из-под затвора струи.
Глубина hz
определяется из зависимости
(5.22)
в которой
а hб – глубина в отводящем канале (бытовая глубина).
Если вытекающая из отверстия или насадка струя попадает на
неподвижную стенку, то она с определенным давлением воздействует на
нее. Основное уравнение, по которому вычисляется давление струи на
площадку, имеет вид
. (5.23)
На рис. 5.15 приведены наиболее часто встречающиеся в практике
ограждающие поверхности (преграды) и уравнения, по которым
вычисляется давление струи на соответствующую поверхность.
Величина давления струи, естественно, зависит от расстояния
насадка до преграды. С увеличением расстояния струя рассеивается и
давление уменьшается. Соответствующие исследования показывают, что в
данном случае струя может быть разбита на три характерные части:
компактную, раздробленную и распыленную (рис.5.16).
В пределах компактной части сохраняется цилиндрическая форма
струи без нарушения сплошности движения. В пределах раздробленной
части сплошность потока нарушается, причем струя постепенно
расширяется. Наконец, в пределах распыленной части струи происходит
окончательный распад потока на отдельные капли.
Рис. 5.15. Взаимодействие струи жидкости с неподвижной поверхностью
Рис. 5.16. Составные части свободной струи
Исследование, описанное в статье про ЛЕКЦИЯ 5 ИСТЕЧЕНИЕ ЖИДКОСТИ ИЗ ОТВЕРСТИЙ, НАСАДКОВ И ИЗ-ПОД ЗАТВОРОВ, подчеркивает ее значимость в современном мире. Надеюсь, что теперь ты понял что такое ЛЕКЦИЯ 5 ИСТЕЧЕНИЕ ЖИДКОСТИ ИЗ ОТВЕРСТИЙ, НАСАДКОВ И ИЗ-ПОД ЗАТВОРОВ и для чего все это нужно, а если не понял, или есть замечания, то не стесняйся, пиши или спрашивай в комментариях, с удовольствием отвечу. Для того чтобы глубже понять настоятельно рекомендую изучить всю информацию из категории Гидромеханика, Гидравлика (Гидростатика, Гидродинамика)
Комментарии
Оставить комментарий
Гидромеханика, Гидравлика (Гидростатика, Гидродинамика)
Термины: Гидромеханика, Гидравлика (Гидростатика, Гидродинамика)